Waves Flashcards

(3 cards)

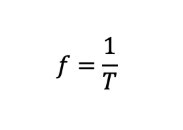
1
Q

States that the frequency of a wave equals the reciprocal of its period of oscillation.

A

f = frequency in Hz

T = period in s

Used to convert between frequency and period of a wave.

How well did you know this?
1
Not at all
2
3
4
5
Perfectly
2
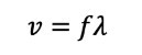
Q

Formula for the speed of a wave

A

v = speed in m/s

f = frequency in Hz

𝜆 = wavelength in m

How well did you know this?
1
Not at all
2
3
4
5
Perfectly
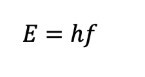
3
Q

Formula for the energy of a photon

A

E = energy of a photon in J

h = Planck’s constant = 6.626 x 10-34 kg m2 s-1

f = frequency in Hz

How well did you know this?
1
Not at all
2
3
4
5
Perfectly