Kinematics Flashcards

(11 cards)

1
Q

A kinematic equation of an object in motion at a constant acceleration when the final velocity is not known.

A

Δx = displacement in m

v0 = initial velocity in m/s

Δt = time in motion in s

a = acceleration in m/s2

How well did you know this?
1
Not at all
2
3
4
5
Perfectly
2
Q

Used to calculate speed, which has no direction and is therefore always positive.

A

Δx = distance in m

Δt = time elapsed in s

How well did you know this?
1
Not at all
2
3
4
5
Perfectly
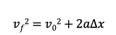
3
Q

A kinematic equation of an object in motion at a constant acceleration when the time in motion is not known.

A

vf = final velocity in m/s

v0 = initial velocity in m/s

a = acceleration in m/s2

Δx = displacement in m

How well did you know this?
1
Not at all
2
3
4
5
Perfectly
4
Q

Velocity of x-axis: Used to calculate the horizontal component of the initial velocity for objects in projectile motion:

A

vx = horizontal component of velocity in m/s

v0 = velocity in m/s

𝜃 = angle of motion relative to horizontal in degrees

How well did you know this?
1
Not at all
2
3
4
5
Perfectly
5
Q

Used to calculate velocity, which has direction and can therefore be positive or negative.

A

Δd = displacement in m

Δt = time elapsed in s

How well did you know this?
1
Not at all
2
3
4
5
Perfectly
6
Q

Velocity of y-axis: Used to calculate the vertical component of the initial velocity for objects in projectile motion

A

vy = vertical component of velocity in m/s

v0 = velocity in m/s

𝜃 = angle of motion relative to horizontal in degrees

How well did you know this?
1
Not at all
2
3
4
5
Perfectly
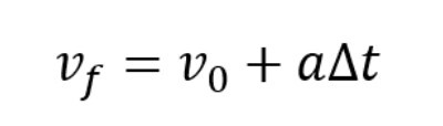
7
Q

A kinematic equation Used in situations of an object in motion at a constant acceleration when the displacement of motion is not known.

A

vf = final velocity in m/s

v0 = initial velocity in m/s

a = acceleration in m/s2

Δt = time in motion in s

How well did you know this?
1
Not at all
2
3
4
5
Perfectly
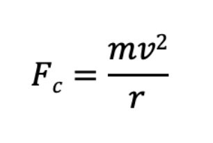
8
Q

Centripetal Force

A

Fc = centripetal force in N

m = mass in kg

v = velocity in m/s

r = radius of circular path of motion in m

How well did you know this?
1
Not at all
2
3
4
5
Perfectly
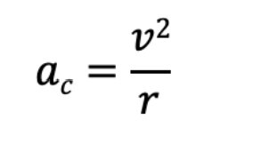
9
Q

Formula for the centripetal acceleration of an object

A

ac = centripetal acceleration in m/s2

v = velocity in m/s

r = radius of circular path of motion in m

How well did you know this?
1
Not at all
2
3
4
5
Perfectly
10
Q

Acceleration

A

Δv = change in velocity in m/s

Δt = time elapsed in s

How well did you know this?
1
Not at all
2
3
4
5
Perfectly
11
Q

Impulse (J)

A

Impulse (J) is the product of force and the time duration over which the force acts. It is also equivalent to the change in momentum (Δp) of the object.

J = Impulse (in kg⋅m/s)
F = Force (in N or kg⋅m/s2),
Δt = Time duration (in s),
Δp=m⋅Δv = Change in momentum (in kg⋅m/s.

How well did you know this?
1
Not at all
2
3
4
5
Perfectly