Physics Flashcards

(77 cards)

1
Q

1 atm equivalents

A
How well did you know this?
1
Not at all
2
3
4
5
Perfectly
2
Q

Volts

A

Unit of electrical potential difference

How well did you know this?
1
Not at all
2
3
4
5
Perfectly
3
Q

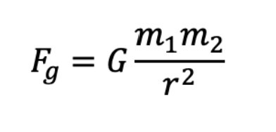
Gravitational Force

A

Fg = gravitational force in N

G = gravitational constant, 6.7 x 10-11 Nm2/kg2

m1 = mass of object in kg

m2 = mass of object in kg

r = distance between the centers of objects in m

How well did you know this?
1
Not at all
2
3
4
5
Perfectly
4
Q

Tesla

A

Unit of magnetic field strength

How well did you know this?
1
Not at all
2
3
4
5
Perfectly
5
Q

Coulomb

A

Unit of electric charge

How well did you know this?
1
Not at all
2
3
4
5
Perfectly
6
Q

Watt

A

Unit of power

How well did you know this?
1
Not at all
2
3
4
5
Perfectly
7
Q

g: Gravitational constant

A
How well did you know this?
1
Not at all
2
3
4
5
Perfectly
8
Q

Formula for the force of gravity acting on an object perpendicular to an inclined plane.

A

F = force in N

m = mass in kg

g = acceleration due to gravity in m/s2

𝜃 = angle of inclined plane from horizontal

How well did you know this?
1
Not at all
2
3
4
5
Perfectly
9
Q

Formula for the force of gravity acting on an object parallel to an inclined plane.

A

F = force in N

m = mass of object in kg

g = acceleration due to gravity in m/s2

𝜃 = angle of inclined plane from horizontal in degrees

How well did you know this?
1
Not at all
2
3
4
5
Perfectly
10
Q

Newton’s 2nd Law of Motion

A
How well did you know this?
1
Not at all
2
3
4
5
Perfectly
11
Q

Newton

A

Unit of Force

How well did you know this?
1
Not at all
2
3
4
5
Perfectly
12
Q

Formula for the work done by a gas at constant pressure

A

W = work in J

P = pressure in Pa

𝛥V = change in volume in m3

How well did you know this?
1
Not at all
2
3
4
5
Perfectly
13
Q

Formula for the potential energy stored in a spring of spring constant k at a given compression or extension x.

A

U = elastic potential energy in J

k = spring constant in N/m

x = displacement from neutral position in m

How well did you know this?
1
Not at all
2
3
4
5
Perfectly
14
Q

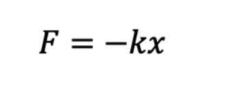
Hooke’s Law: Formula Used to calculate the force of a spring.

A

F = elastic force in N

k = spring constant in N/m

x = displacement of spring from neutral position in m

How well did you know this?
1
Not at all
2
3
4
5
Perfectly
15
Q

Used to calculate the gravitational potential energy of an object of mass m and an altitude h above a given ground level.

A

U = gravitational potential energy in J

m = mass in kg

g = gravitational acceleration constant = 10 m/s2 on Earth

h = altitude in m

How well did you know this?
1
Not at all
2
3
4
5
Perfectly
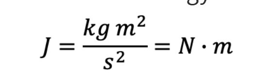
16
Q

Joule

A

Unit of Energy

How well did you know this?
1
Not at all
2
3
4
5
Perfectly
17
Q

Formula for the work done by an applied force along a displacement

A

W = work in J

F = force in N

d = displacement in m

𝜃 = angle between applied force and displacement in degrees

How well did you know this?
1
Not at all
2
3
4
5
Perfectly
18
Q

Formula Used to determine the power of an application of force when work and time elapsed are known, or when the applied force and speed of displacement are known.

A

P = power in W

W = work in J

t = time elapsed in s

F = force in N

v = speed in m/s

𝜃 = angle of applied force in degrees

How well did you know this?
1
Not at all
2
3
4
5
Perfectly
19
Q

Formula for the kinetic energy of a moving object.

A

KE = kinetic energy in J

m = mass in kg

v = speed in m/s

How well did you know this?
1
Not at all
2
3
4
5
Perfectly
20
Q

Specific gravity of water

A
How well did you know this?
1
Not at all
2
3
4
5
Perfectly
21
Q

Pascal

A
How well did you know this?
1
Not at all
2
3
4
5
Perfectly
22
Q

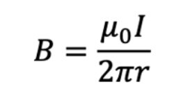
Magnetic Field from a Straight Wire: Formula for the strength of the magnetic field generated by a straight current-carrying wire.

A

B = magnetic field strength in T

𝜇0 = permeability constant = 4𝜋 x 10-7 T m A-1

I = current through wire in A

r = distance from wire in m

How well did you know this?
1
Not at all
2
3
4
5
Perfectly
23
Q

Magnetic Force on Current Carrying Wires: Formula for the magnetic force applied by a magnetic field on a straight current-carrying wire.

A

F = force in N

i = current in A

L = length of wire in m

B = magnetic field strength in T

𝜃 = angle between wire and direction of magnetic field in degrees

How well did you know this?
1
Not at all
2
3
4
5
Perfectly
24
Q

Lorentz Force

A

F = force in N

q = charge in C

E = electric field strength in N/C

v = speed of charged particle in m/s

B = magnetic field strength in T

𝜃 = angle between direction of charged particle movement and direction of magnetic field in degrees

How well did you know this?
1
Not at all
2
3
4
5
Perfectly
25
Electric Field: Used to calculate electric field strength when either the electric force on a test charge generated by the electric field is known or the magnitude of the source charge and distance from source charge are known
E = electric field strength in N/C F = electric force in N q = test charge in C k = Coulomb’s constant = 9 x 109 N m2 C-2 Q = source charge in C r = distance from source charge in m
26
Electrical Potential Energy: Used to calculate electric potential energy between two charged particles separated by a known distance or to calculate the electric potential energy of a point charge in a position of known electric potential.
U = electrical potential energy in J k = Coulomb’s constant = 9 x 109 N m2 C-2 q1 = charge of 1st particle in C q2 = charge of 2nd particle in C r = distance between particles in m q = charge of point charge in C V = electric potential in V
27
Coulomb’s Law: Used to calculate the electric force between point charges or the electric force generated by an electric field on a point charge
F = electric force in N k = Coulomb’s constant = 9 x 109 N m2 C-2 q1 = charge of 1st particle in C q2 = charge of 2nd particle in C r = distance between particles in m q = charge of a point charge in C E = electric field strength in N/C
28
Magnetic Field from a Loop of Wire: Formula for the strength of the magnetic field generated at the center of a loop of current-carrying wire.
B = magnetic field strength in T 𝜇0 = permeability constant = 4𝜋 x 10-7 T m A-1 I = current through wire in A r = radius of loop in m
29
Magnetic Force: Formula for the magnetic force applied by a magnetic field on a moving point charge.
F = force in N q = charge in C v = speed of charge in m/s B = magnetic field strength in T 𝜃 = angle between direction of charged particle movement and direction of magnetic field in degrees
30
Farad
31
Voltage (Potential Difference)
𝛥V = potential difference in V Vb = electric potential at point B in V Va = electric potential at point A in V Wab = work required to move a charged particle from point A to point B in J
32
Resistivity: Used to calculate the resistance of a wire or to calculate different characteristics of a wire of known resistance.
R = resistance in Ω 𝜌 = resistivity in Ω m L = length in m A = cross sectional area in m2
33
Volts Root Mean Square
Vrms = effective voltage in V Vmax = maximum voltage in V
34
Capacitance: Formula for the capacitance of a parallel-plate capacitor with plates of surface area A separated by distance d.
C = capacitance in F ε0 = vacuum permittivity = 9 x 10-12 F/m A = area of plate in m2 d = distance between plates in m
35
Capacitors in Parallel
Cp = equivalent capacitance of multiple capacitors in parallel in F C1 = capacitance of 1st capacitor in F C2 = capacitance of 2nd capacitor in F Cn = capacitance of nth capacitor in F
36
Resistors in Series
Rs = equivalent resistance of resistors in series in Ω R1 = resistance of 1st resistor in Ω R2 = resistance of 2nd resistor in Ω Rn = resistance of nth resistor in Ω
37
Current Root Mean Square
Irms = effective current in A Imax = maximum current in A
38
Capacitance: Used to calculate charge stored, capacitance, or voltage across a capacitor when the other 2 are known.
Q = magnitude of charge stored in C C = capacitance in F 𝛥V = potential difference between plates in V
39
Ohm
40
Resistors in Parallel
Rp = equivalent resistance of grouping of resistors in parallel in Ω R1 = resistance of 1st resistor in Ω R2 = resistance of 2nd resistor in Ω Rn = resistance of 3rd resistor in Ω
41
Energy of Capacitor: Formula for the energy stored in a charged capacitor.
U = stored energy in J C = capacitance in F 𝛥V = potential difference across a capacitor in V
42
Speed of a Wave
v = speed in m/s f = frequency in Hz 𝜆 = wavelength in m
43
Doppler Effect: Used to calculate the observed or source frequency when one is known and the relative speeds are known
f’ = observed frequency in Hz f0 = source frequency in Hz vsound = speed of sound = 343 m/s in air vobserver= travel speed of observer in m/s vsource = travel speed of source in m/s
44
Energy of a Photon
E = energy of a photon in J h = Planck’s constant = 6.626 x 10-34 kg m2 s-1 f = frequency in Hz
45
Wavelength in Open Pipes: Formula for nth harmonic of resonant wavelength for an open pipe.
𝜆 = wavelength in m L = length of pipe in m n = positive integer denoting nth harmonic unitless
46
Speed of Light: Used to calculate frequency or wavelength of light when the other is known
c = speed of light = 3 x 108 m/s in vacuum f = frequency in Hz 𝜆 = wavelength in m
47
Frequency: Used to convert between frequency and period of a wave.
f = frequency in Hz T = period in s
48
49
50
Sound Intensity: Used to calculate the sound intensity of a sound emitted at power P spread over the surface area of a sphere as the sound expands outward
I = intensity in W m-2 P = sound power in W A = area over which power is dispersed in m2
51
Frequency in Open Pipes: Formula for nth harmonic of resonant frequency for an open pipe.
f = frequency in Hz v = speed of sound = 343 m/s in air 𝜆 = wavelength in m n = positive integer denoting nth harmonic unitless L = length of pipe in m
52
Hertz
53
Period of a Pendulum: Formula for the period of a swinging pendulum. Greater length implies greater period and lower frequency.
T = period in s L = length in m g = gravitational acceleration = 10 m/s2 on Earth
54
Beat Frequency: States that the beat frequency of two interfering waves of different frequencies equals the difference between the two frequencies
fbeat = beat frequency in Hz f1 = 1st frequency in Hz f2 = 2nd frequency in Hz
55
Wavelength in Closed Pipes: Formula for nth harmonic of resonant wavelength for a closed pipe
𝜆 = wavelength in m L = length of pipe in m n = positive integer denoting nth harmonic unitless
56
Sound Level: Formula for expressing sound intensity in decibels
dB = sound level in decibels I = intensity in W m-2 I0 = threshold of hearing = 10-12 W m-2
57
Period of a Spring: Formula for the period of motion of a mass on an oscillating spring. Greater period implies lower frequency.
T = period in s m = mass in kg k = spring constant in N/m
58
Frequency in Closed Pipes: Formula for nth harmonic of resonant frequency for a closed pipe.
f = frequency in Hz v = speed of sound = 343 m/s in air 𝜆 = wavelength in m n = positive integer denoting nth harmonic unitless L = length of pipe in m
59
60
Wavelength of red light
61
Wavelength of violet light
62
Thin Lens Equation: Used to calculate focal length, object distance, or image distance when the other two are known.
f = focal length in m (most common) o = distance of object in same units as f i = distance of image in same units as f r = radius of curvature in same units as f For converging lenses, the focal length is positive, while diverging lenses have negative focal lengths.
63
Mass-Energy Equivalence
E = energy in J m = mass in kg c = speed of light = 3 x 108 m/s in vacuum States that all objects having mass, called massive objects, also have corresponding intrinsic energy, even when they are stationary
64
Magnification
m = magnification unitless i = image distance in m (most common) o = object distance in same units as i Describes the magnification of an image as the ratio of image distance to object distance. A positive value indicates an upright image, while a negative value indicates an inverted image.
65
Magnification for Series of Lenses
m = total magnification of multiple lenses in series unitless m1 = magnification of 1st lens in series unitless m2 = magnification of 2nd lens in series unitless mn = magnification of nth lens in series unitless States that the total magnification of multiple lenses in series is equal to the product of the magnifications of all the lenses in the series.
66
Index of Reflection
n = refractive index unitless c = speed of light in vacuum = 3.0 x 108 m/s v = speed of light in medium in m/s This is the formula for the refractive index of a medium through which light waves can pass.
67
Position of Dark Fringes (Double-Slit): Gives the positions of dark fringes in double-slit diffraction
d = distance between slits in m 𝜃 = angle of diffraction in degrees n = integers 1, 2, 3… 𝜆 = wavelength of light in m
68
Law of Reflection
𝜃incidence = angle of incidence in degrees 𝜃angle of reflection = angle of reflection in degrees States that a ray of light reflects off a surface at the same angle (measured from the normal) at which it came into contact with the surface.
69
Lensmaker Equation: Equation for the focal length of a lens with surfaces of different curvatures.
f = focal length of lens in m (most common) n = refractive index of lens unitless r1 = radius of curvature of the lens surface closer to the light source in same units as f r2 = radius of curvature of the lens surface farther from the light source in same units as f
70
Radioactive Decay: Used to calculate the initial and final quantity of substance in decay.
[A]t = Quantity that still remains in grams, moles, or number of atoms (most common) [A]0 = Initial quantity of substance that will decay grams, moles, or number of atoms (most common) λ = decay constant in s-1 t = time of decay in seconds
71
Critical Angle: Formula for the critical angle between two mediums, the angle of incidence at which the angle of refraction is 90°.
𝜃critical = critical angle in degrees n2 = refractive index of second medium unitless n1 = refractive index of first medium unitless
72
Positions of Dark Fringes (Single-Slit): Gives the positions of dark fringes in single-slit diffraction.
𝛼 = slit width in m 𝜃 = angle of diffraction in degrees n = integers 1, 2, 3… unitless 𝜆 = wavelength of light in meters
73
Lens Power: Formula for the power of a lens of known focal length.
P = power of lens in diopters or m-1 f = focal length of lens in m
74
Rydberg Formula
λ = wavelength in m RH = Rydberg constant = 1.1 x 107 m-1 nf = principal quantum number of an energy level ni = principal quantum number for the atomic electron transition
75
Decay Constant: Used to measure the rate of exponential decay
λ = decay constant in s-1 T1/2 = radioactive half-life in s
76
Power of Lenses in Series
P = total power of multiple lenses in series in diopters P1 = power of 1st lens in a series in diopters P2 = power of 2nd lens in a series in diopters Pn = power of nth lens in a series in diopters States that the total power of multiple lenses in series is equal to the sum of the powers of all the lenses in the series.
77
Focal Length of Lenses in Series
f = total focal length of multiple lenses in a series in m (most common) f1 = focal length of 1st lens in series in same units as f f2 = focal length of 2nd length in series in same units as f fn = focal length of nth lens in series in same units as f States that the reciprocal of the total focal length of multiple lenses in series is equal to the sum of the reciprocals of the focal lengths of all the lenses in the series.