Fluids Flashcards

(9 cards)

1
Q

definition of pressure.

A

P= A/F

Key idea: Pressure increases when you apply more force over a smaller area (e.g., a needle tip).

Mnemonic: “Force over Area equals Pressure.”

How well did you know this?
1
Not at all
2
3
4
5
Perfectly
2
Q

Poiseuille’s Law: Used to calculate the volume flow rate in the case of laminar flow

A

Q = volume flow rate in m3/s

r = radius of vessel in m

ΔP = change in pressure in Pa

η = fluid viscosity in Pa*s

L = length of vessel in m

How well did you know this?
1
Not at all
2
3
4
5
Perfectly
3
Q

Formula for the buoyant force on an object in a fluid

A

Fb = buoyant force in N

𝜌 = density of fluid in kg/m3

V = volume of fluid displaced in m3

g = gravitational acceleration = 10 m/s2 on Earth

Key idea: Objects float if the buoyant force matches their weight.

Mnemonic: “Float with Rho V G.”

How well did you know this?
1
Not at all
2
3
4
5
Perfectly
4
Q

Volume Flow Rate: Used to measure the amount of fluid volume that passes through an area per time

A

Q = volume flow rate in m3/s

A = cross sectional area of the fluid in m2

v = fluid velocity in m/s

Key idea: If a pipe narrows, velocity increases to keep flow rate constant.

Mnemonic: “Quick AV pipes flow.”

How well did you know this?
1
Not at all
2
3
4
5
Perfectly
5
Q

Fluid Density: It tells you how much matter is packed into a given space.

A

𝜌 = density in kg/m3

m = mass in kg

V = volume in m3

Key idea: Materials with high density (like lead) have more mass in the same volume compared to low-density materials (like air).

Mnemonic: “Dense Milk in a Volume” — Think of dense milk filling a container.

How well did you know this?
1
Not at all
2
3
4
5
Perfectly
6
Q

Bernoulli’s Equation

A

P1, P2 = hydrostatic pressure in Pa

𝜌 = fluid density in kg/m3

v1, v2 = fluid velocity in m/s

g = gravitational acceleration = 10 m/s2

What it means: In a steady flow, the sum of pressure energy (P), gravitational potential energy (ρgh), and kinetic energy per volume (1/2𝜌𝑣2) is constant.

Key idea: High speed means lower pressure (think of air moving over airplane wings).

Mnemonic: “Bernoulli Packs Gravity, Pressure, Velocity.”

How well did you know this?
1
Not at all
2
3
4
5
Perfectly
7
Q

Hydrostatic Pressure: Formula to “gauge” the hydrostatic pressure of a column of liquid

A

P = hydrostatic pressure in Pa

𝜌 = fluid density in kg/m3

g = gravitational acceleration = 10 m/s2 on Earth

h = depth of fluid in m

How well did you know this?
1
Not at all
2
3
4
5
Perfectly
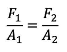
8
Q

Pascal’s Law: Used to calculate force or cross-sectional area of hydrostatics when differing cross-sectional areas are used to provide a mechanical advantage.

A

F1 = force applied to 1st location

A1 = cross-sectional area of fluid at 1st location

F2 = force transferred to 2nd location

A2 = cross-sectional area of fluid at 2nd location

How well did you know this?
1
Not at all
2
3
4
5
Perfectly
9
Q

Hydrostatic Pressure: When you want the “absolute” pressure at a depth in a fluid,

A

Key idea: The deeper you go, the more pressure you experience because of the weight of the fluid above you.

Mnemonic: “Pressure adds up with depth.”

How well did you know this?
1
Not at all
2
3
4
5
Perfectly