Estimation Flashcards

(33 cards)

1
Q

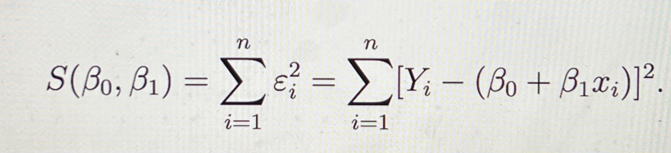
Sum of squares of errors

A
How well did you know this?
1
Not at all
2
3
4
5
Perfectly
2
Q

Find LSE

A

NEED TO FIND MIN OF sum of squares of errors
- partial deriv w respect to β0, β1;
-equate to zero (obtain normal eqs)
-calc 2nd deriv
-form hessian

How well did you know this?
1
Not at all
2
3
4
5
Perfectly
3
Q

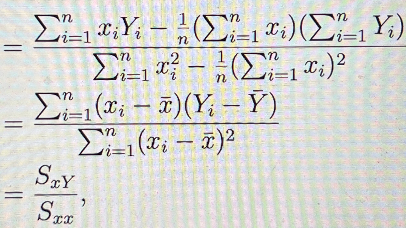
For lse of sum of squares errors

A
How well did you know this?
1
Not at all
2
3
4
5
Perfectly
4
Q

For Lse,

A
How well did you know this?
1
Not at all
2
3
4
5
Perfectly
5
Q
A
How well did you know this?
1
Not at all
2
3
4
5
Perfectly
6
Q
A
How well did you know this?
1
Not at all
2
3
4
5
Perfectly
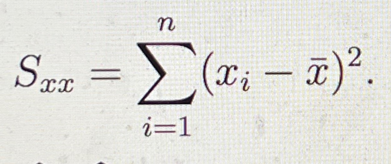
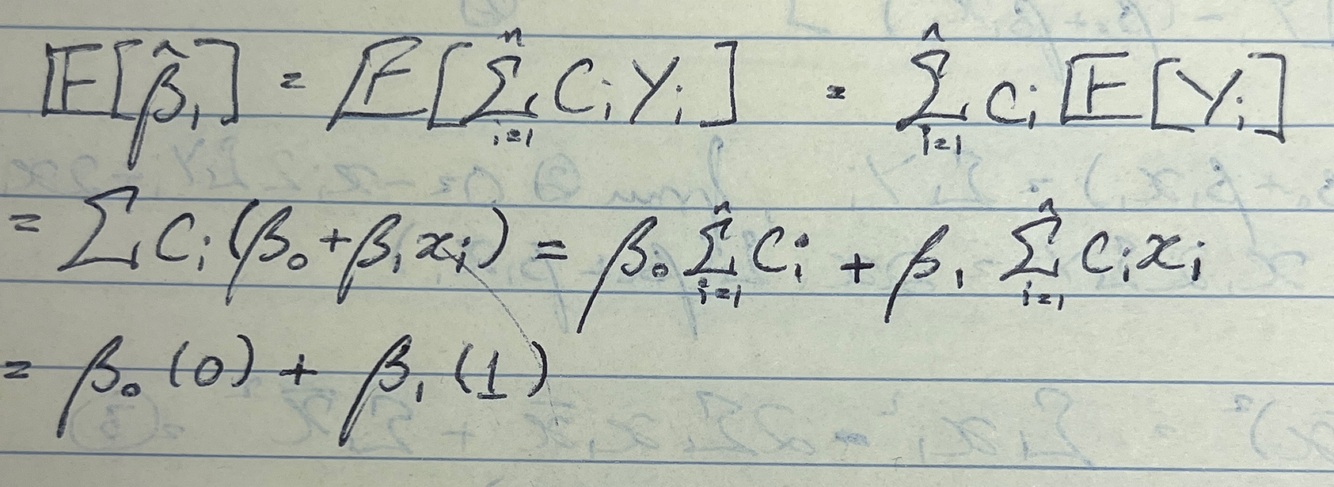
7
Q

Terms of c_i

A
How well did you know this?
1
Not at all
2
3
4
5
Perfectly
8
Q
A
How well did you know this?
1
Not at all
2
3
4
5
Perfectly
9
Q
A
How well did you know this?
1
Not at all
2
3
4
5
Perfectly
10
Q
A
How well did you know this?
1
Not at all
2
3
4
5
Perfectly
11
Q
A
How well did you know this?
1
Not at all
2
3
4
5
Perfectly
12
Q

Normal equations obtained from lsm given by (matrix form)

A
How well did you know this?
1
Not at all
2
3
4
5
Perfectly
13
Q

Unique solution to normal equations obtained from lsm (vector)

A
How well did you know this?
1
Not at all
2
3
4
5
Perfectly
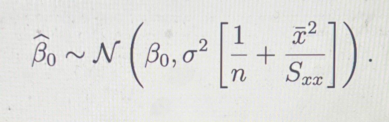
14
Q

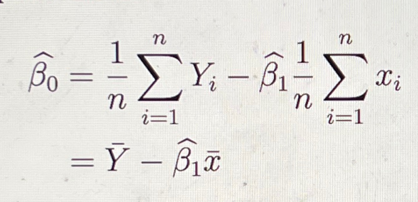
Lsm β^ is?

A

Unbiased

How well did you know this?
1
Not at all
2
3
4
5
Perfectly
15
Q

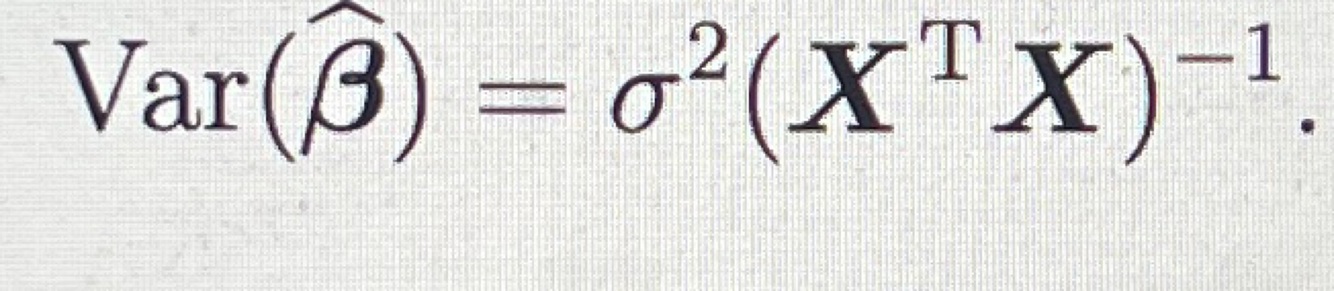
Variance matrix of β^ (vector)

A
How well did you know this?
1
Not at all
2
3
4
5
Perfectly
16
Q

Prove that β^- is unbiased

17
Q

Prove var matrix of β^

18
Q

Vector of null model

19
Q

β^ in null model

20
Q

Var[β^] in null model?

21
Q

β^ in no intercept model?

22
Q

Var[β^] in no intercept model?

23
Q

LSE β^- (vector) given by?

24
Q

Limitation of β^- vector estimator?

25
Estimation of β by least squares; S=?
Sum of squares, which then needs to be minimised
26
Estimation of β; normal equations?
27
Estimation of β; unique solution to normal equations?
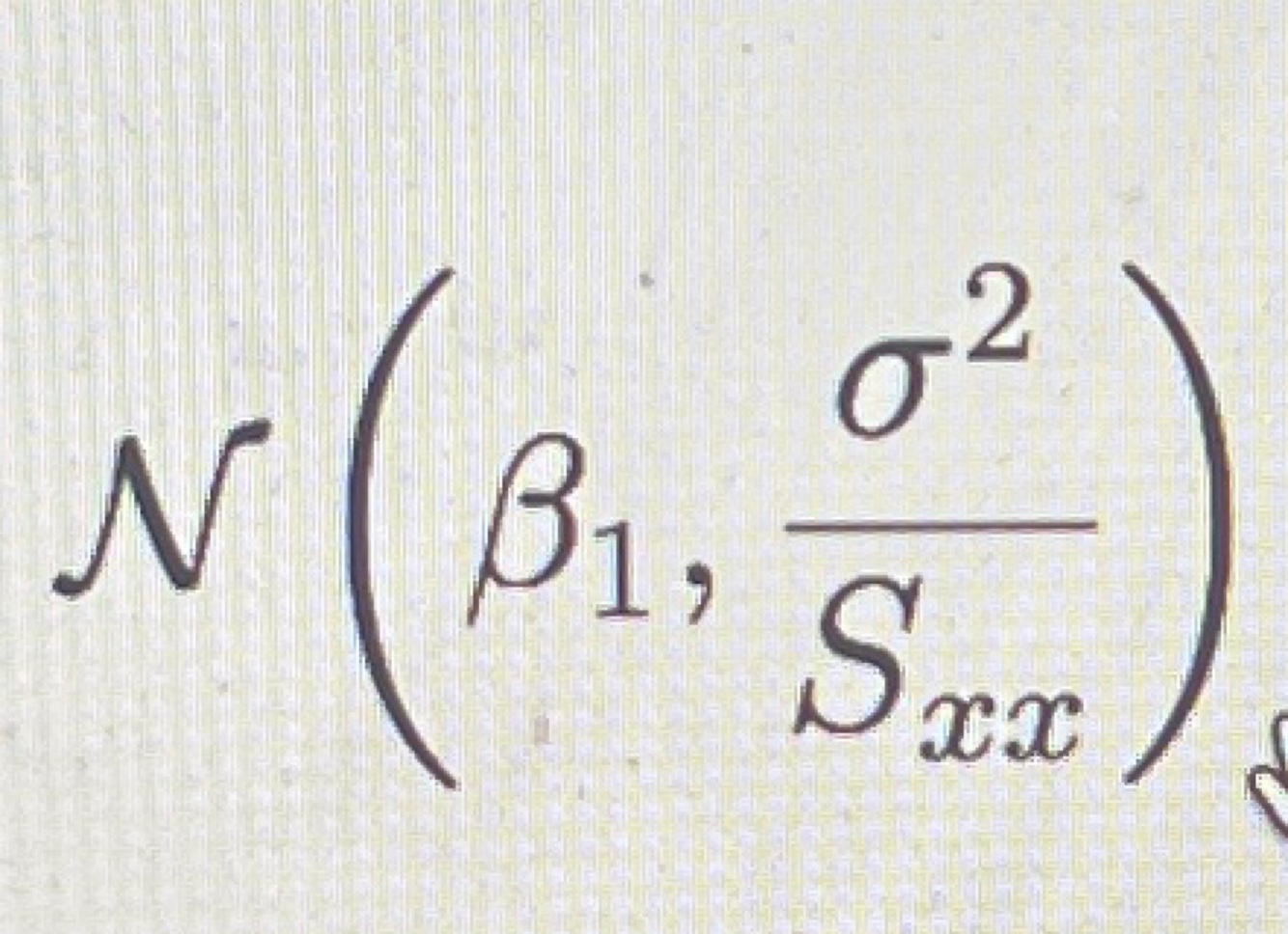
28
Then β^ ~?
29
Gauss Markov Theorem
30
BLUE
Best Linear Unbiased Estimator . Estimator, among all unbiased estimators of form (image) that has smaller variance
31
32
33
c_i