Model Checking Flashcards

(74 cards)

1
Q

Var[e_i]=?

A
How well did you know this?
1
Not at all
2
3
4
5
Perfectly
2
Q

Cov[e_i,e_j]=

A
How well did you know this?
1
Not at all
2
3
4
5
Perfectly
3
Q

Standardize residuals

A
How well did you know this?
1
Not at all
2
3
4
5
Perfectly
4
Q

Studentise residuals

A

Replace σ^2 in Standardized residual with S^2

How well did you know this?
1
Not at all
2
3
4
5
Perfectly
5
Q

Constant varíance?

A

Homoscedasticity

How well did you know this?
1
Not at all
2
3
4
5
Perfectly
6
Q

To check linearity of model

A

Plot r_i against x_i

How well did you know this?
1
Not at all
2
3
4
5
Perfectly
7
Q

To check homoscedasticity

A

Plot r_i against y^^_i (fitted valúes)

How well did you know this?
1
Not at all
2
3
4
5
Perfectly
8
Q

h_ii =

A
How well did you know this?
1
Not at all
2
3
4
5
Perfectly
9
Q

Rule of thumb for outlier observations when standardised

A

If abs value >2, outlier

How well did you know this?
1
Not at all
2
3
4
5
Perfectly
10
Q
A
How well did you know this?
1
Not at all
2
3
4
5
Perfectly
11
Q

Large leverage?

A
How well did you know this?
1
Not at all
2
3
4
5
Perfectly
12
Q

Very large leverage

A
How well did you know this?
1
Not at all
2
3
4
5
Perfectly
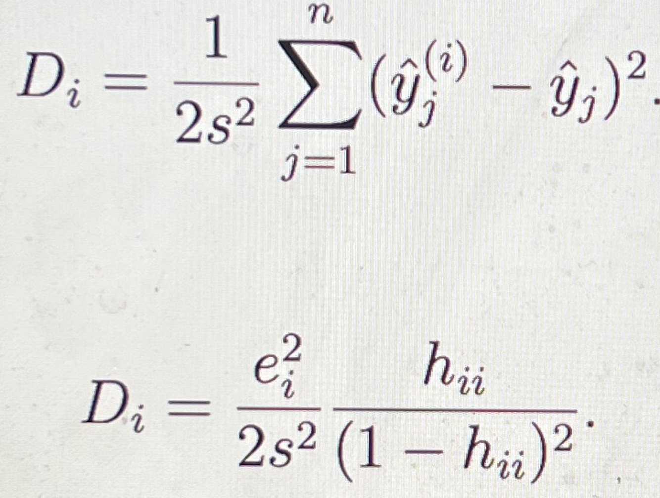
13
Q

Cook’s distance?

A

Statistic to measure influence of an observation

How well did you know this?
1
Not at all
2
3
4
5
Perfectly
14
Q

Determine if cook’s stat is unusually large?

A

If D_i is bigger than 50th percentile of(where p is #parameters):

How well did you know this?
1
Not at all
2
3
4
5
Perfectly
15
Q

Pure error?

A
How well did you know this?
1
Not at all
2
3
4
5
Perfectly
16
Q

Replications

A

More than one observation for some valúes of an explanatory variable;
Y_ij for x_i

How well did you know this?
1
Not at all
2
3
4
5
Perfectly
17
Q
A

When múltiple observations at single x_i

How well did you know this?
1
Not at all
2
3
4
5
Perfectly
18
Q

Sum of squares for residuals (Y_ij for x_i)

A
How well did you know this?
1
Not at all
2
3
4
5
Perfectly
19
Q

Puré error sum of squares

A
How well did you know this?
1
Not at all
2
3
4
5
Perfectly
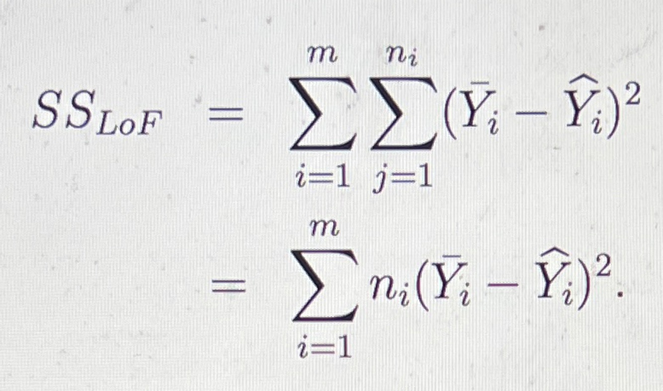
20
Q

Lack of fit sum of squares

A
How well did you know this?
1
Not at all
2
3
4
5
Perfectly
21
Q

In SLRM SS_E =

A

SS_LoF + SS_PE

How well did you know this?
1
Not at all
2
3
4
5
Perfectly
22
Q

ANOVA table columns

A

Source of variation, d.f., SS, MS, VR

How well did you know this?
1
Not at all
2
3
4
5
Perfectly
23
Q

E(SS_PE) =

A

(N-m)σ^2

How well did you know this?
1
Not at all
2
3
4
5
Perfectly
24
Q

If SLRM is true then E(SS_LoF) =

A
How well did you know this?
1
Not at all
2
3
4
5
Perfectly
25
MS_PE and MS_LoF give estimators?
Both give unbiased estimators of var But latter only if SLRM is true
26
F test for lack of fit: -H_0?
SLRM is true
27
F test for lack of fit: H_1?
28
F test for lack of fit: -2Stats?
29
F test for lack of fit: -F stat under H_0
30
Can only ro F test for LoF if
We have replications (not repeated measurements of same sampling unit)
31
0 vector
32
33
h_ii is?
ite diagonal element of Hat matrix
34
35
ith mean response? (Matrix)
36
Estimator of ith mean response
37
Varíance of estimator of ith mean response
38
Estimator of varíance of estimator of ith mean response
39
40
41
Varíance of estimator of beta zero
42
43
44
Vector of residuals
45
Múltiple regression model written in vectors
46
Vector of fitted valúes
47
ith fitted valúe? (Vector)
48
h_ii indicates?
49
Properties of h_ii: As var(e_i) = σ^2 (1-h_ii)
50
Properties of h_ii: h_ii is usually small/large when?
51
Centroid?
The vector of means of each feature across all data points
52
Properties of h_ii: When p=2?
SLRM,
53
Properties of h_ii: Range of value for h_ii
1/n < h_ii < 1
54
Properties of h_ii: Sum of h_ii
55
Average leverage
p/n
56
High leverage
h_ii > 2p/n
57
Very high leverage
h_ii > 3p/n
58
Cooks distance in vectors
59
60
Cooks distance in vectors (reduced)
61
PRESS residuals
PRediction Error Sum of Squares
62
PRESS
Sum of squares of press residuals
63
PRESS residuals simplified
64
What does PRESS assess?
The model’s predictive ability -used for calculating predicted R^2
65
Predicted R^2 defined?
66
When is Predicted R^2 used?
In MLRM to indicate how well the model predicts responses to new observations
67
A Good modele ould have R^2
And R^2(pred) both high and close to each other
68
Large discrepancy in R^2 and R^2(pred)
Means model May b over fitted
69
If (below) is singular, then?
No uni que least square estimators exist
70
Singularity of below caused by
Linear dependence among explanatory variables
71
Problems of Multicollinearity
-some or all estimators will have large variances -very different models May fit equally well therefore variable selection may b difficult - some params May have wrong sign
72
What is use of varíance inflación factor?
Used to indicate when multi collinearity May b a problem
73
VIF_j=?
For regression w p-1 predictors, model with X_j as function of remaining p-2 exp variables, R^2_j coefficient of determination (not as a %)
74
The scatterplot of the residuals vs fitted values is useful to check if
-the variance of the error is constant - if there is any trend in the residuals (thus some term is missing in the regression model) - if there is any outlier