Inference Flashcards

(104 cards)

1
Q

fitted values?

A

Denoted by y^_i; points on FITTED REGRESSION LINE corresponding to values x_i

How well did you know this?
1
Not at all
2
3
4
5
Perfectly
2
Q

Residuals?

A
How well did you know this?
1
Not at all
2
3
4
5
Perfectly
3
Q

Residual sum of squares?

A
How well did you know this?
1
Not at all
2
3
4
5
Perfectly
4
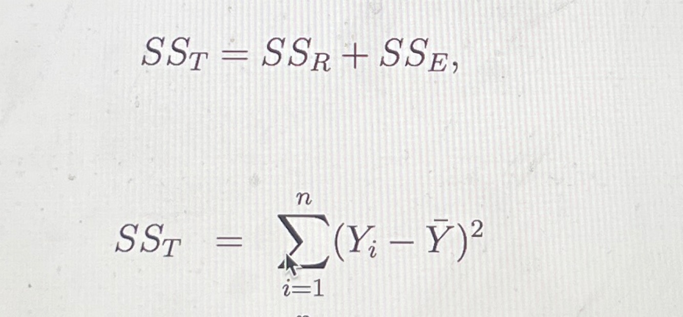
Q

SS_T

A

Total sum of squares; SS_R + SS_E

How well did you know this?
1
Not at all
2
3
4
5
Perfectly
5
Q

SS_R =?

A
How well did you know this?
1
Not at all
2
3
4
5
Perfectly
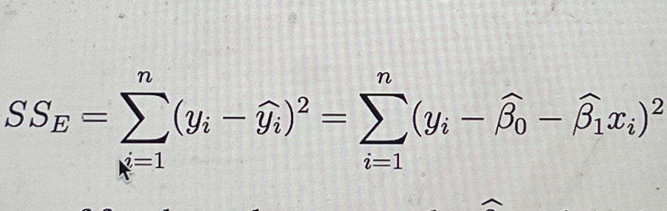
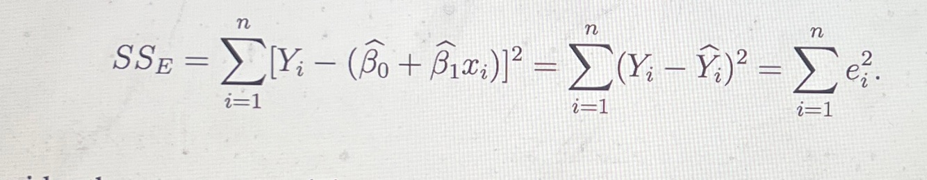
6
Q

SS_E?

A
How well did you know this?
1
Not at all
2
3
4
5
Perfectly
7
Q

SS_T for constant model?

A

Given Y_i = β_0 + ε_i

How well did you know this?
1
Not at all
2
3
4
5
Perfectly
8
Q

Degrees of freedom for SS_T ? Why?

A

n-1
One degree of freedom is taken up by y-

How well did you know this?
1
Not at all
2
3
4
5
Perfectly
9
Q

Dof for SS_E? Why?p

A

n-2; because 2 estimated parameters

How well did you know this?
1
Not at all
2
3
4
5
Perfectly
10
Q

MS_R =?

A

SS_R / ν_R

How well did you know this?
1
Not at all
2
3
4
5
Perfectly
11
Q

ν_R =

A

1

How well did you know this?
1
Not at all
2
3
4
5
Perfectly
12
Q

ν_E =?

A

n-2

How well did you know this?
1
Not at all
2
3
4
5
Perfectly
13
Q

MS_E=?

A

SS_E / ν_E

How well did you know this?
1
Not at all
2
3
4
5
Perfectly
14
Q

ν_T

A

n-1

How well did you know this?
1
Not at all
2
3
4
5
Perfectly
15
Q

Variance Ratio=?

A

MS_R / MS_E

How well did you know this?
1
Not at all
2
3
4
5
Perfectly
16
Q

F test, F=?

A
How well did you know this?
1
Not at all
2
3
4
5
Perfectly
17
Q

H_0 for F test?

A
How well did you know this?
1
Not at all
2
3
4
5
Perfectly
18
Q

F test; we reject H_0 if?

A

H0 : β1 = 0

How well did you know this?
1
Not at all
2
3
4
5
Perfectly
19
Q

F_cal?

A

Value of variance ratio F calculated for given data set

How well did you know this?
1
Not at all
2
3
4
5
Perfectly
20
Q

F test; F_(α;1,n-2) is ?

A

Such that

How well did you know this?
1
Not at all
2
3
4
5
Perfectly
21
Q

What does rejecting H_0 in F test mean?

A
How well did you know this?
1
Not at all
2
3
4
5
Perfectly
22
Q
A

(n-2)σ^2

How well did you know this?
1
Not at all
2
3
4
5
Perfectly
23
Q
A
How well did you know this?
1
Not at all
2
3
4
5
Perfectly
24
Q

MS_E is biased? Estimator of?

A

Unbiased estimator of σ^2 ; often denoted S^2

How well did you know this?
1
Not at all
2
3
4
5
Perfectly
25
Null model also known as?
Constant model
26
In null model, S^2 is? Isn’t in?
Sample variance; Full model
27
S^2 in full model?
28
29
Standardise SLRM β^_1
30
Form student t from
31
When converting normalised SLRM β^_1 to student t, U = ?
32
Form student t from SLRM β^_1
33
To find a CI for an unknown parameter θ ?
To find values of boundaries A and B which satisfy
34
Find CI for SLRM β^_1? (In terms of Probability)
35
Explicitly, CI for SLRM β_1?
36
Form T_cal under null from SLRM for β^_1?
Where null is β_1 = 0
37
For SLRM T-test reject H_0 if?
H_0: β_1=0
38
Standard error of β^_1 (sqrt of variance of β^_1)
39
Estimator of standard error of β^_1
40
Rewrite (1-α) 100% CI for β_1 in terms of standard error (T test for constant model)
41
Rewrite to include standard error: test statistic for H_0: β_1 = 0
42
in SLRM, μ_i = ?
43
In SLRM, LSE of μ_i is?
44
In full SLRM, distribution of LSE of μ_0 is?
45
In full SLRM, CI for μ_0 is?
46
In full SLRM, test H_0 : μ_0 = μ* given?
47
se(μ0^)^
48
49
Hat matrix
50
Special property of Hat matrix?
Idempotent: - H=H^T - HH = H
51
If matrix A is idempotent then
(I-A) is idempotent
52
Residual vector
53
E(**e**) =?
**0**
54
Var(**e**) = ?
σ2(**I** - **H**)
55
Proof of Var(**e**)?
Var(**e**) = (**I** -**H**)Var(**ε**)(**I** - **H**)T =
56
Proof of E(**e**) ?
57
Vector of sum of squares of residuals?
58
0
59
Total sum of squares ? (describe)
Regression sum of squares and Residual sum of squares
60
Proof of SS T in vectors
61
SS R in vectors
62
SSE in vectors
63
H 0: for F-test for overall significance of regression
64
F-test for Overall significance of regression; DF of overall regression?
p-1 (p=#parameters)
65
F-test for Overall significance of regression; df of residual?
n-p
66
F-test for Overall significance of regression; df of total?
n-1
67
F-test for Overall significance of regression; sum of squares of regression?
68
F-test for Overall significance of regression; sum of squares of residual
69
F-test for Overall significance of regression; sum of squares for total
70
In F-test for overall significance of regression; E(SSE) =
(n-p)σ 2
71
The 2 test stats from F-test for overall significance of regression;
72
For F-test of overall significance of regression; Reject H 0 If?
Reject at (1-α) 100% significance level if
73
**β** ^vector takes ~
74
β^j ~
75
100(1-α)%CI for βj is ?
76
Test stat for H0 : β j = 0 ?
Where c_k is jth diagonal element of (x-Tx-)-1 counting from 0 to p-1)
77
T test for parameters β_j doesn’t tell us anything about comparisons between
Models E(Yi) = β0 And E(Yi) = β0jx j,i Doesn’t tell us wether we can accept or reject constant model for linear
78
79
Point estimate?
80
Prove normality of
81
Prove
82
Prove
83
84
Orthogonal matrix?
C has, CT C = I
85
For symmetric idempotent A of rank r, There exists…
Orthogonal C
86
Properties of trace for any matrices A and B (of appropriate dimensions) and scalar k
87
For idempotent A, trace(A) =
Rank(A)
88
Proof of reltionship between trace and rank of idempotent A
89
Rank(I-H) = ? And prove
90
E(ZTAZ) = ?
91
Proof of E(ZTAZ) =
92
93
Proof of
94
σ 2
95
Lemmas needed to prove
96
Prove
97
98
99
100
SSR in terms of
101
SSR in terms of
102
Prove
103
What does the hat matrix do?
Maps observed values to predicted values: **Y**^ = **HY**
104
DoF of SS_R? Why?