Generalised Linear Models Flashcards

(69 cards)

1
Q

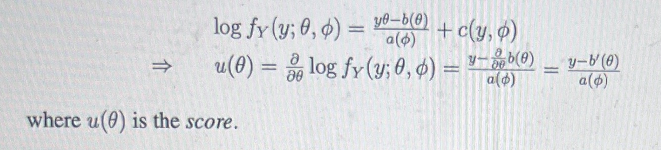
A member of exponential family can be written in form

A
How well did you know this?
1
Not at all
2
3
4
5
Perfectly
2
Q

Θ in exponential family

A

Natural or canonical parameter

How well did you know this?
1
Not at all
2
3
4
5
Perfectly
3
Q

Φ in exponential family

A

Nuisance parameter (if unknown)

How well did you know this?
1
Not at all
2
3
4
5
Perfectly
4
Q

Score of exponential family

A
How well did you know this?
1
Not at all
2
3
4
5
Perfectly
5
Q

Hessian of exponential family

A
How well did you know this?
1
Not at all
2
3
4
5
Perfectly
6
Q

Fisher information matrix of exponential family

A
How well did you know this?
1
Not at all
2
3
4
5
Perfectly
7
Q

Expectation of score of exponential family

A
How well did you know this?
1
Not at all
2
3
4
5
Perfectly
8
Q

E[Y] for exponential family? Why?

A
How well did you know this?
1
Not at all
2
3
4
5
Perfectly
9
Q

Variance of score of exponential family

A
How well did you know this?
1
Not at all
2
3
4
5
Perfectly
10
Q

Variance of Y for exponential family

A
How well did you know this?
1
Not at all
2
3
4
5
Perfectly
11
Q

μ for exponential family

A

b’(θ)

How well did you know this?
1
Not at all
2
3
4
5
Perfectly
12
Q

Variance function for exponential family

A
How well did you know this?
1
Not at all
2
3
4
5
Perfectly
13
Q

a(φ) in exponential family

A

= (σ^2)/w where σ^2 is called the dispersion/scale parameter and w the weight

How well did you know this?
1
Not at all
2
3
4
5
Perfectly
14
Q

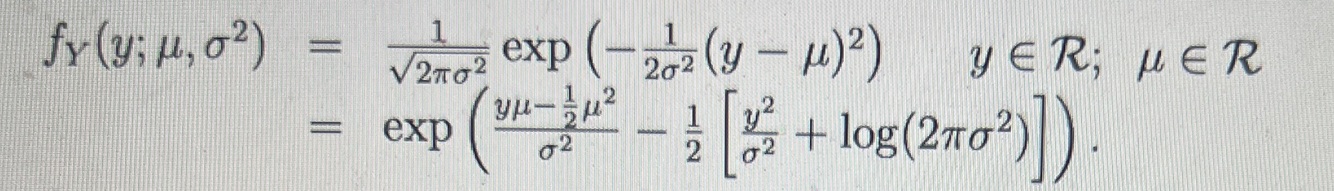
For normal distribution;
Θ =

A

μ

How well did you know this?
1
Not at all
2
3
4
5
Perfectly
15
Q

For normal distribution;
b(θ)

A

(Θ^2)/2

How well did you know this?
1
Not at all
2
3
4
5
Perfectly
16
Q

For normal distribution;
a(φ)

A

σ^2

How well did you know this?
1
Not at all
2
3
4
5
Perfectly
17
Q

For normal distribution;
c(y,φ)

A
How well did you know this?
1
Not at all
2
3
4
5
Perfectly
18
Q

For normal distribution;
E(Y)

A
How well did you know this?
1
Not at all
2
3
4
5
Perfectly
19
Q

For normal distribution;
Var(Y)

A
How well did you know this?
1
Not at all
2
3
4
5
Perfectly
20
Q

For normal distribution;
V(μ)

A

1

How well did you know this?
1
Not at all
2
3
4
5
Perfectly
21
Q

For poison distribution;
Distribution?

A
How well did you know this?
1
Not at all
2
3
4
5
Perfectly
22
Q

For normal distribution;
Distribution?

A
How well did you know this?
1
Not at all
2
3
4
5
Perfectly
23
Q

For poison distribution;
Θ?

A

log(λ)

How well did you know this?
1
Not at all
2
3
4
5
Perfectly
24
Q

For poison distribution;
b(θ)?

A

exp(θ)

How well did you know this?
1
Not at all
2
3
4
5
Perfectly
25
For poison distribution; a(φ)?
1
26
For poison distribution; c(y, φ)?
-log(y!)
27
For poison distribution; E(Y)
28
For poison distribution; Var(Y)
29
For poison distribution; V(μ)
μ
30
For Bernoulli distribution; Distribution
31
For Bernoulli distribution; Θ
log(p/(1-p))
32
For Bernoulli distribution; b(θ)
log(1+exp(θ))
33
For Bernoulli distribution; a(φ)
1
34
For Bernoulli distribution; c(y, φ)
0
35
For Bernoulli distribution; E(Y)
36
For Bernoulli distribution; Var(Y)
37
For Bernoulli distribution; V(μ)
μ(1-μ)
38
For binomial distribution; Distribution
39
For binomial distribution; Θ
log(p/(1-p))
40
For binomial distribution; b(θ)
log(1+exp(θ))
41
For binomial distribution; a(φ)
1/n
42
For binomial distribution; c(y, φ)
43
For binomial distribution; E(Y)
44
For binomial distribution; Var(Y)
45
For binomial distribution; Var(μ)
μ(1-μ)
46
Random component of general linear model; Parameters
For each observation, given the fitted distribution, functions a,b and c (and usually) scale parameter φ are the same for all observations, only θ changes
47
Random component of general linear model; Joint density
48
Random component of general linear model; Vector y , observed responses
Is likelihood function for θ and φ
49
Systematic/Structural component of general linear model; Linear predictor
Distribution of response
50
Systematic/Structural component of general linear model; Design matrix
51
Link function does?
Describes relationships between E(Y) and linear predictor
52
Link function must
Any function g that is one to one, monotonic and differentiable (limitations May apply due to distribution) (eg poisson must have μ_i >0)
53
How to pick link function
-normally choose so that range is entire real line
54
Get θ_i from generalised linear model given that
55
Canonical link function
56
Canonical link function normal
57
Canonical link function poisson
58
Canonical link function Bernoulli/binomial
59
Normal linear model; linear predictor
60
Normal linear model; link between
Through the
61
Objective of binary regression
Model success probability p as a function of the covariates
62
Binary regression; Θ when using canonical link
(Logit)
63
CDF of logistic dist
64
Binary regression; Probit link
Using CDF of standard normal to model p(**x**)
65
Binary regression; Probit link has g(μ)=
Where Φ is CDF of standard normal dist
66
Binary regression; CDF of log-Weibull
67
Verify that log-Weibull CDF does in fact define a CDF
68
Binary regression; Difference between logit, Probit and log-log link
Logit and Probit CDFs are symmetric about 1/2. Log-log link isn’t, hence this should be used when asymmetry as a function of the linear predictor is suspected
69
When to use Logit
Heavier tailed than standard normal dist, hence use when outliers are suspected in linear predictor