Exam Prep Flashcards

(11 cards)

1
Q
A
How well did you know this?
1
Not at all
2
3
4
5
Perfectly
2
Q

When to use z, when to use t

A

n is considered large from 30 and on

How well did you know this?
1
Not at all
2
3
4
5
Perfectly
3
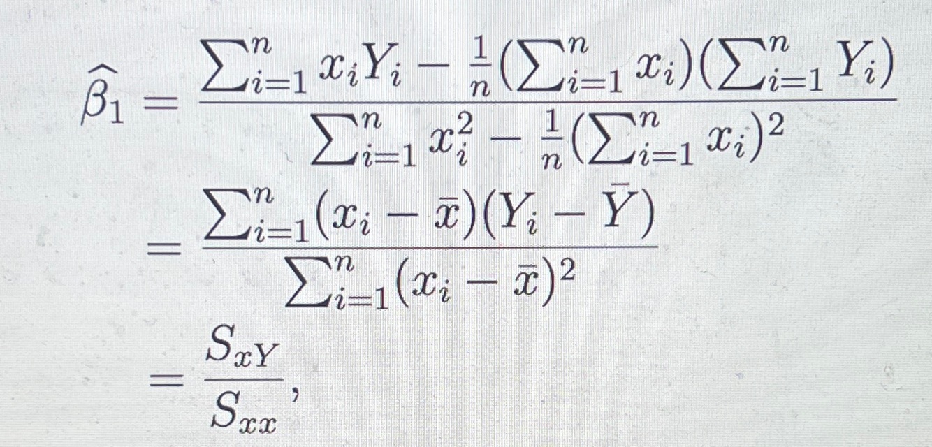
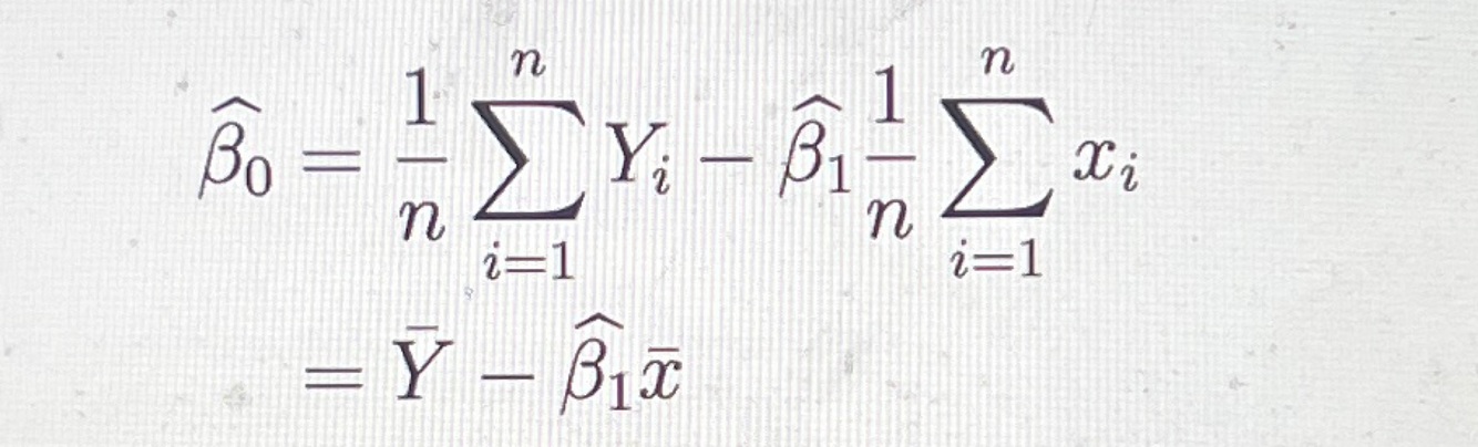
Q

LSE of β_0? How
To obtain

A

From method of least squares

How well did you know this?
1
Not at all
2
3
4
5
Perfectly
4
Q

LSE of β_1? How to obtain?

A

From method of least squares

How well did you know this?
1
Not at all
2
3
4
5
Perfectly
5
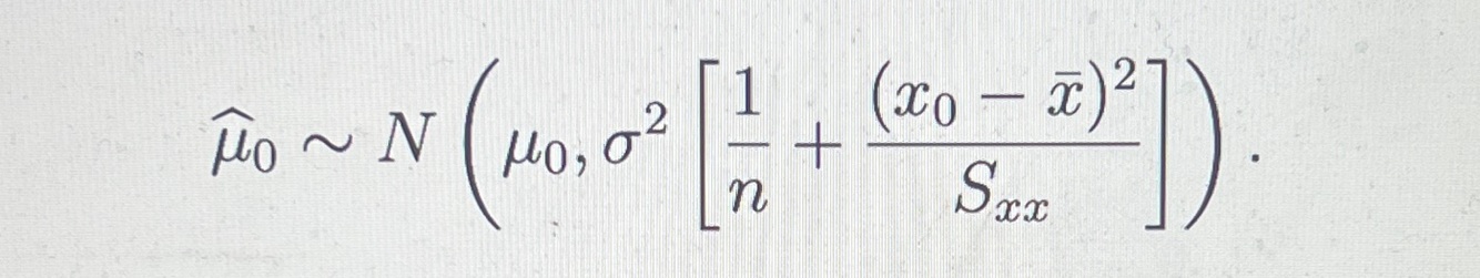
Q

Difference between distributions of β^_0 and μ^_0 for SLRM

A

In β^_0 var is same except Xbar squared over S_xx
(Not x_0 minus xBar squared)

How well did you know this?
1
Not at all
2
3
4
5
Perfectly
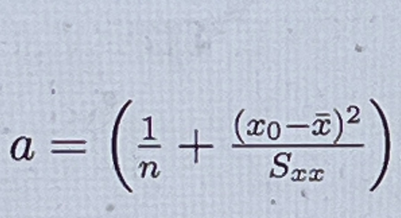
6
Q

a = ?

A
How well did you know this?
1
Not at all
2
3
4
5
Perfectly
7
Q

Categorical rvs in a linear model have what effect on β- (vector)

A

Result in 2 β values for each categorical

How well did you know this?
1
Not at all
2
3
4
5
Perfectly
8
Q

Plotting a linear model w a categorical variable
E(Y) against and any continuous variable

A

Doubles the number of parallel lines (assuming no interaction)

How well did you know this?
1
Not at all
2
3
4
5
Perfectly
9
Q

Given usual y=xβ + ε fit, where ε takes usual normal dist
Sketch of residual plot against true model is

A

Plotting residuals against fitted values shows variance decreasing as fitted values increase
Non constant variation

How well did you know this?
1
Not at all
2
3
4
5
Perfectly
10
Q

Given usual y=xβ + ε fit, where ε takes usual normal dist
Sketch of residual plot against true error distribution is t dist w 3 degrees of freedom

A

Normal plot of residuals shows an inverted s shape

How well did you know this?
1
Not at all
2
3
4
5
Perfectly
11
Q

Given usual y=xβ + ε fit, where ε takes usual normal dist
Sketch of residual plot against true linear predictor should have an additional term β11x21

A

Plot residual v x_1 shows a U or inverted U

How well did you know this?
1
Not at all
2
3
4
5
Perfectly