Intégrales À Paramètre Flashcards

(65 cards)

1
Q

Exercice de rigueur

Fais le parfaitement !

A
How well did you know this?
1
Not at all
2
3
4
5
Perfectly
2
Q

Exercice

Calculer

A
How well did you know this?
1
Not at all
2
3
4
5
Perfectly
3
Q

Cours

Donne le théorème de convergence dominée (démo hors programme)

A

Il faut pas que l’intervalle dépende de n !! Sinon on pose une autre fonction avec la technique de l’indicatrice

Pareil si on fait une limite en x et que l’intervalle dépend de x

On a besoin de la majoration de |fₙ| que pour n assez grand !

How well did you know this?
1
Not at all
2
3
4
5
Perfectly
4
Q

Exercice

A
How well did you know this?
1
Not at all
2
3
4
5
Perfectly
5
Q

C’est quoi le théorème d’intégration d’une série de fonctions terme à terme

A

Quand on utilise le DSE d’un truc pour exprimer ∫f = ∫Σfk, le théorème donne directement ∫f CV

Pas besoin du fait que la série soit intégrable

How well did you know this?
1
Not at all
2
3
4
5
Perfectly
6
Q

Exercice

Calcule

A
How well did you know this?
1
Not at all
2
3
4
5
Perfectly
7
Q

Exercice

Calcule

A
How well did you know this?
1
Not at all
2
3
4
5
Perfectly
8
Q

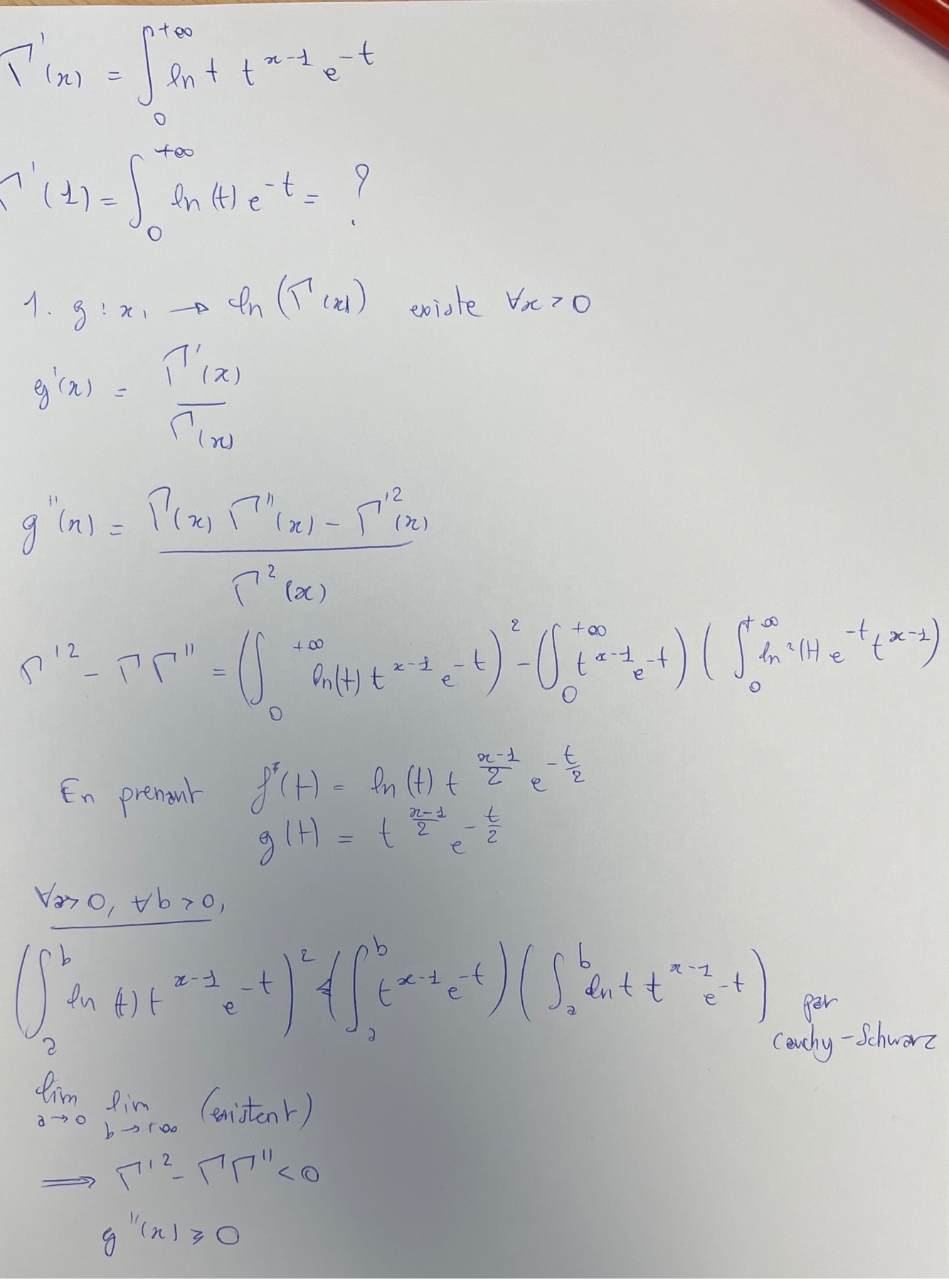
Γ’ convexe (a ficher)

A
How well did you know this?
1
Not at all
2
3
4
5
Perfectly
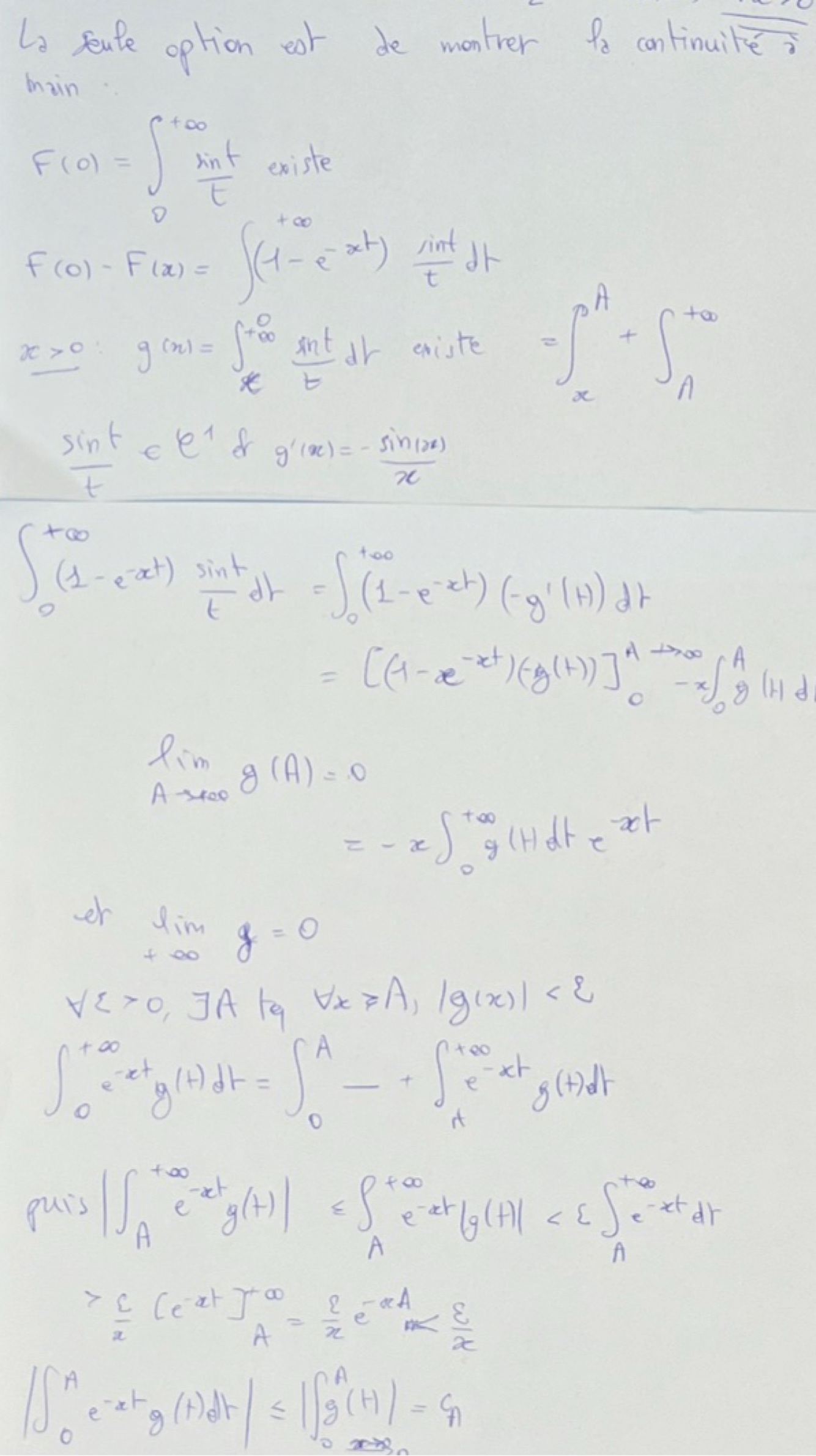
9
Q

Exercice

Montre la continuité

A
How well did you know this?
1
Not at all
2
3
4
5
Perfectly
10
Q

Démontre le théorème de continuité des intégrales à paramètres

A
How well did you know this?
1
Not at all
2
3
4
5
Perfectly
11
Q

Tu dis quoi pour conclure quand tu veux montrer qu’une integrale à paramètres est contenue et que t’as réduit l’intervalle

A

Donc, f est définie et continue sur tout [a, +∞[ ∀a > 0, donc que R⁺*

How well did you know this?
1
Not at all
2
3
4
5
Perfectly
12
Q

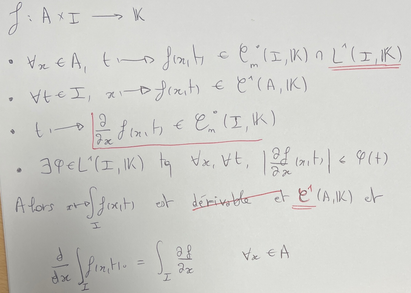
Donne le théorème de classe C¹ des intégrales à paramètres

A

Pas oublier de dire que la dérivée est cpm !! Et continue en x

How well did you know this?
1
Not at all
2
3
4
5
Perfectly
13
Q
  1. Peut on calculer l’integrale de dirichlet à partir de ça ?
A
How well did you know this?
1
Not at all
2
3
4
5
Perfectly
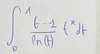
14
Q

Montre la continuité en 0 de

A REPRENDRE

A
How well did you know this?
1
Not at all
2
3
4
5
Perfectly
15
Q

C’est quoi le théorème de classe Cᵏ ?

A

Exactement le même que C¹ mais on remplace par des dérivées kiemes

How well did you know this?
1
Not at all
2
3
4
5
Perfectly
16
Q

A REPRENDRE

A
How well did you know this?
1
Not at all
2
3
4
5
Perfectly
17
Q

Exercice

A
How well did you know this?
1
Not at all
2
3
4
5
Perfectly
18
Q

Question réflexe

Le fait pas mais réfléchis à l’exo et donne les points ou faire gaffe

A

• f(xⁿ) → f(0) pas directement 0
• |f(xⁿ)| ≤ ||f|| **on est sur un segment, on peut majorer par une constante et le sup existe par le TBA

How well did you know this?
1
Not at all
2
3
4
5
Perfectly
19
Q

Exercice

Calcule Γ(x)

A
How well did you know this?
1
Not at all
2
3
4
5
Perfectly
20
Q

Comment on fait pour inverser série et intégrale quand la série est alternée ? Explique plus généralement cette nouvelle méthode

A
How well did you know this?
1
Not at all
2
3
4
5
Perfectly
21
Q

Comment on fait pour la deuxième ?

A
How well did you know this?
1
Not at all
2
3
4
5
Perfectly
22
Q

Exercice

A
How well did you know this?
1
Not at all
2
3
4
5
Perfectly
23
Q

Exercice

Calcule

A
How well did you know this?
1
Not at all
2
3
4
5
Perfectly
24
Q

Exercice

A
How well did you know this?
1
Not at all
2
3
4
5
Perfectly
25
Exercice Trouve un équivalent en +∞
26
Trouve un équivalent en +∞
27
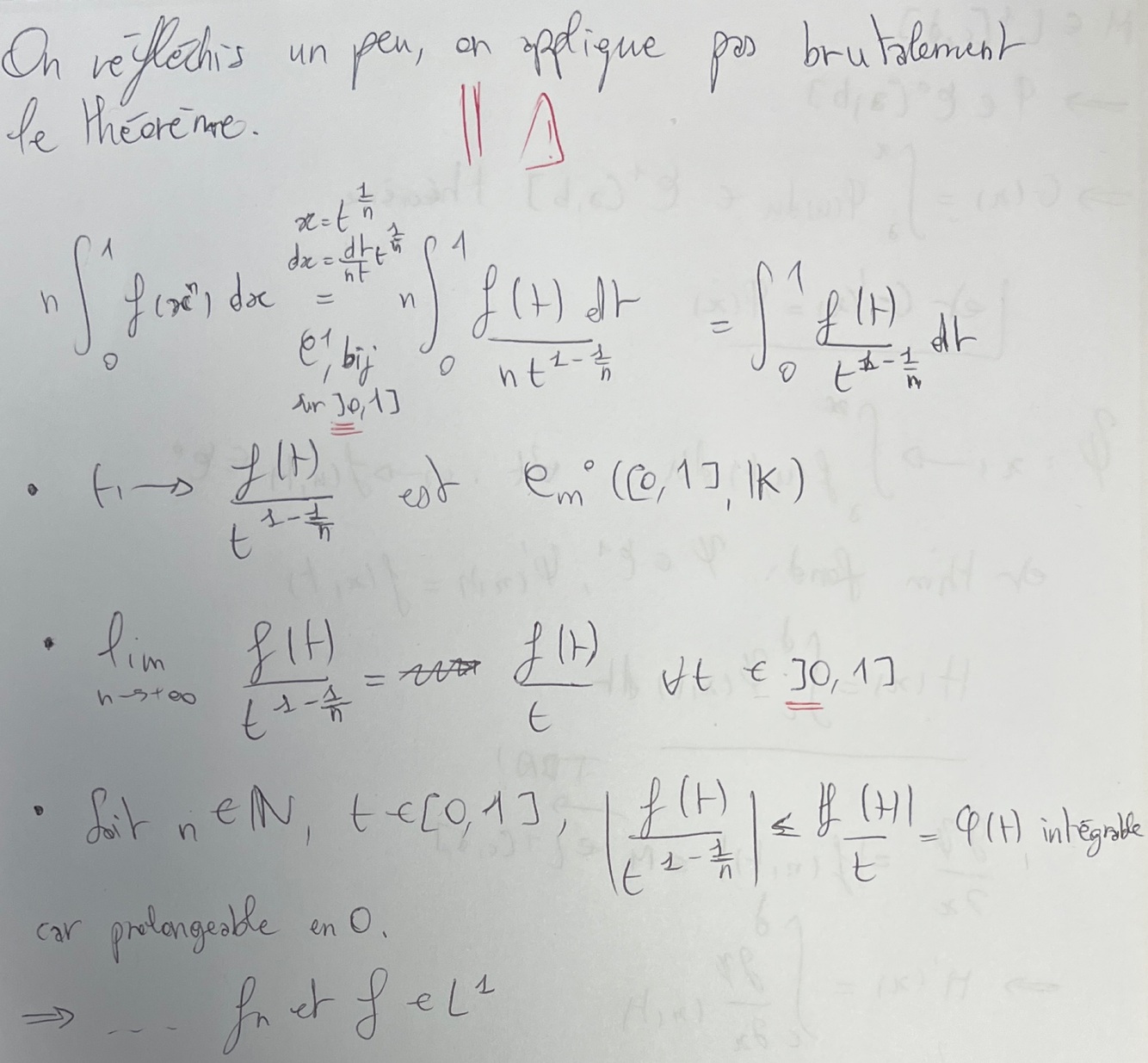
Cours Comment utiliser les théorèmes des intégrales à paramètre sur un segment ?
Prendre pour la majoration la **borne supérieure de f**. On peut aussi simplement **vérifier la CVU**
28
Exercice important
29
Exercice Montre que l'intégrale est bien définie
30
Exercice
31
Exercice
32
Question réflexe Comment tu calculerai ?
33
Exercice
34
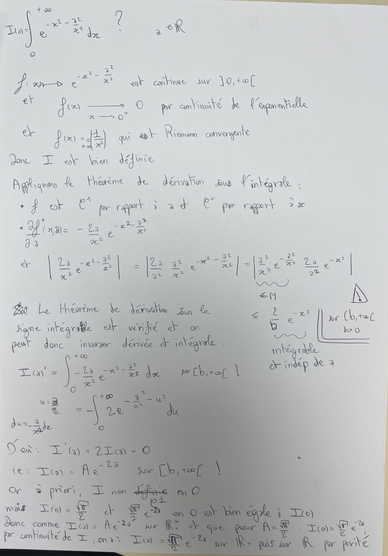
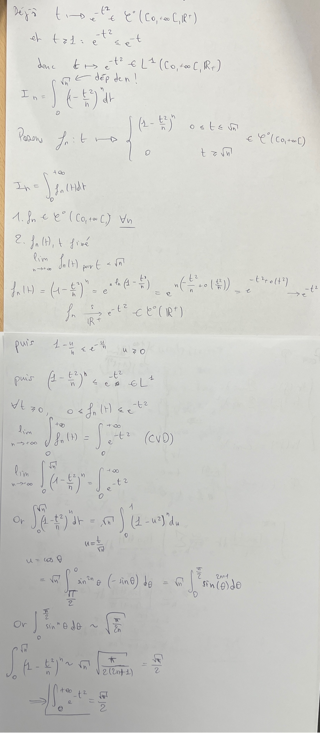
Exercice classique Méthode de calcul de l'intégrale de Gauss
35
Exercice Calcule la limite quand x → ∞
36
Exercice classique
37
Exercice
38
Simplifie cette expression sachant que ϕ est T-periodique
39
T'as ∫Σuₙ , tu voudrais inverser, qu'est ce que tu regarde en premier ?
Si l'intégrale n'est pas généralisée, c'est un autre théorème !! • x → Σuₙ(x) est continue (**à prouver**) • Σuₙ → f uniformément **Le théorème donne la convergence de Σ ∫ uₙ**'
40
Question réflexe On veut montrer que c'est égal à zêta(2), tu commences comment ?u
41
Question réflexe Existence ?
ON MET DES VA PARTOUT !! (Quand on fait des équivalents, on travaille sur des trucs positifs)
42
Question réflexe Commence le raisonnement pour trouver un équivalent
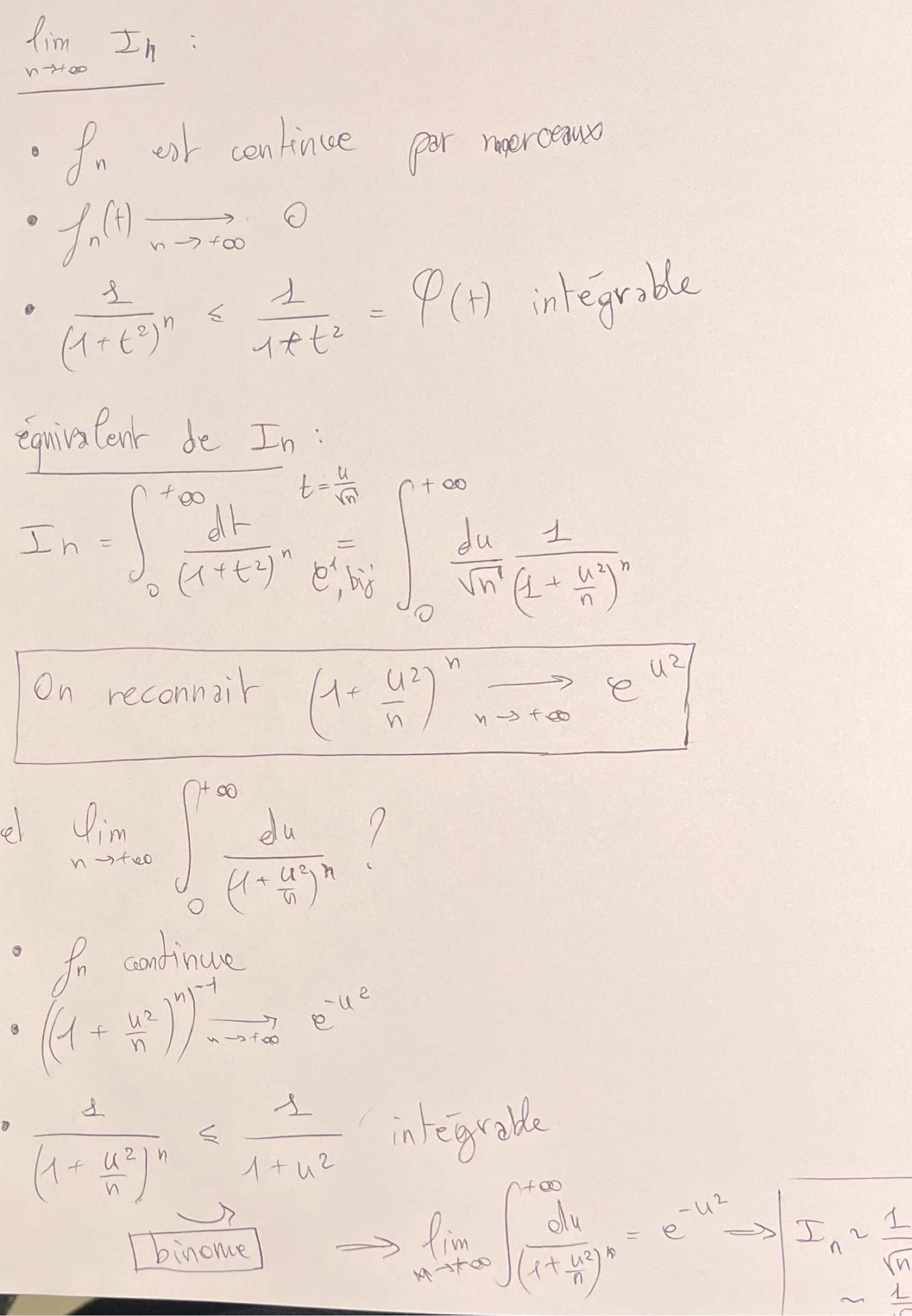
t = u/n puis TCD
43
Question réflexe Tu veux majorer par un truc intégrable
44
Question réflexe Pour trouver un équivalent, c'est quoi les deux méthodes ? u
• mettre en avant le terme qui domine (ex : si y a tⁿ dans ∫(0,1), on fait u = tⁿ) • reconnaître une intégrale connue en faisant sortir du n ou 1/n
45
46
Exercice
47
Exercice important à ficher
48
Exercice Montrer que :
**bien avec l'integrabilité de f**
49
Question réflexe C'est quoi les deux méthodes pour inverser intégrale et fonction fₙ ?
1ere est pour un segment 2eme est pour un intervalle
50
Question réflexe C'est quoi les 3 méthodes permettant d'inverser serie de fonctions et intégrale ?
51
Exercice On admettra que*
**c'est un segment, il faut penser à encadrer !!**
52
Exercice Comment tu t'y prendrais pour la calculer ?
Avec arctan
53
Révision On te dit f → (∞) 0 et g → (∞) 0. En déduire f et g
On écrit la forme général en cos et sin
54
Révision On donne que la première vaut π/2, trouve la seconde
55
Révision Montre qu'elle est bien définie
56
Révision Quel théorème garantit la convergence de l'intégrale ?
Le théorème d'interversion série intégrale : si t'exprime le terme à l'intérieur sous forme de DSE et que t'inverses c'est good, l'intégrale est convergente
57
Révision On a montré que Γ était C°° sur R⁺*. Montre que Γ(x+1) = xΓ(x) et déduis en un équivalent de Γ en 0.
On fait par IPP puis on a Γ(x+1) ∼ Γ(1) **par continuité pas par CVD !!** D'où 1/x
58
Révision Donne le récapitulatif des deux théorèmes qui permettent d'intervertir une série et une intégrale
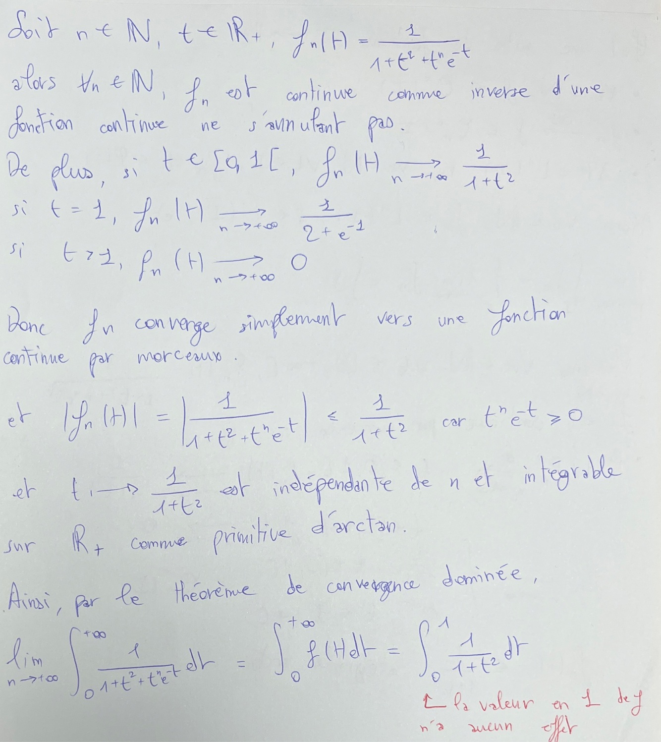
*Pour les intégrables généralisées * **Convergence dominée** • fₙ intégrables sur I • convergence simple et régularité de la somme • domination indépendante de n des sommes partielles par une fonction intégrable **Integration terme a terme** • fₙ intégrables sur I • convergence simple et régularité de la somme • convergence de Σ ∫ |fₙ| *Pour les intégrales sur un segment* • fₙ sont continues sur I • Σ fₙ convergence uniformément
59
Révision Juste la 2
60
Révision :
On majore pas avec x > 0 par x = 0 !!
61
Révision :
62
Révision très bien !! On peut le faire de deux méthodes
1. On fait + t - t et on a du ln(3) qui pop et le deuxième intégrale de majoré près de 0 en majorant son terme général qui → 0 2. On fait une IPP qui nous donne une intégrale de cos(t)/t puis on arrive au résultat avec un changement de variable
63
Révision très bien !!!
64
Révision Que dire de l'intégrale de sh(t) de -infini à +infini ? Expliquer l'erreur
65
Revision Comment on traite une intégrale de Fresnel