Probabilites Flashcards

(36 cards)

1
Q

Donne l’inégalité de Bienaymé-Tchebychev et ses hypothèse

A

X une variable aléatoire réelle discrète sur Ω, de variance finie. Soit ε > 0. Alors :

ℙ( |X - E(X)| ≥ ε ) ≤ V(X)/ε²

How well did you know this?
1
Not at all
2
3
4
5
Perfectly
2
Q

Donne l’inégalité de Markov et ses hypothèses

A

X une variable aléatoire réelle positive discrète sur Ω, d’espérance finie. Soit ε > 0. Alors :

ℙ( X ≥ a ) ≤ E(X)/a

How well did you know this?
1
Not at all
2
3
4
5
Perfectly
3
Q

Cours

Définie une probabilité et un espace probabilisé

A
How well did you know this?
1
Not at all
2
3
4
5
Perfectly
4
Q

Cours

  1. P(∅)
  2. P(∪Ak) pour des ensembles deux à deux disjoints
  3. P(Abarre) = 1 - P(A)
  4. Croissance de la proba
  5. Grassman
  6. P(A\B) = P(A) - P(A ∩ B)
A
How well did you know this?
1
Not at all
2
3
4
5
Perfectly
5
Q

Cours

Qu’appelle t on un événement négligeable, presque sûr ?

A

P(A) = 0
P(B) = 1

How well did you know this?
1
Not at all
2
3
4
5
Perfectly
6
Q

Cours

C’est quoi un système complet d’événements ? Intuitivement ?

A
How well did you know this?
1
Not at all
2
3
4
5
Perfectly
7
Q

Cours

Dans ce chapitre, qu’est ce qu’on admet sur la commutative convergence d’une série ?

A
How well did you know this?
1
Not at all
2
3
4
5
Perfectly
8
Q

Cours

Si Ω est fini, déterminer le nombre maximal d’éléments d’une tribu 𝒜

A

C’est le nombre d’éléments des parties de Ω donc 2ⁿ

How well did you know this?
1
Not at all
2
3
4
5
Perfectly
9
Q

Cours

C’est quoi intuitivement une tribu ?

A

C’est un ensemble (et pas une liste pour laquelle l’ordre des éléments compte) ou y a plein de parties de Ω qui vérifient les axiomes

How well did you know this?
1
Not at all
2
3
4
5
Perfectly
10
Q

Cours

En pratique, quand est ce qu’on a la commutative convergence ?

A

Si la série converge absolument alors elle est commutativement convergente, en particulier si les termes généraux sont positifs, c’est bon

How well did you know this?
1
Not at all
2
3
4
5
Perfectly
11
Q

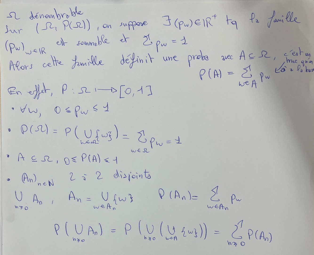
Cours : distribution de probabilités discrètes de Ω

A

Dans les exos, on va demander : montrer que cette famille définit une unique mesure de probabilité sur (P(omega), omega)

How well did you know this?
1
Not at all
2
3
4
5
Perfectly
12
Q

Cours

Si on prend une ℙ au pif et une suite d’événements au pif

A
How well did you know this?
1
Not at all
2
3
4
5
Perfectly
13
Q

Cours

Qu’est ce qui est nécessaire pour la σ additivité ?

A

Deux à deux disjoints pas seulement disjoints

How well did you know this?
1
Not at all
2
3
4
5
Perfectly
14
Q

Cours

Donne les théorèmes de limites monotones (continuité croissante et décroissante)

A

On prend Bₙ = Aₙ/A>n-1 et par σ additivité on arrive au résultat

How well did you know this?
1
Not at all
2
3
4
5
Perfectly
15
Q

Cours

Qu’a t on plus généralement sur une forme de continuité de la ℙ ?

A

C’est un corolaire de la limite monotone mais intuitivement c’est plus grand que ça.

On applique la limite monotone à Bₙ = ∩Ak jusqu’à n

How well did you know this?
1
Not at all
2
3
4
5
Perfectly
16
Q

Cours

On lance une pièce jusqu’à obtenir face. Montrer que l’événement “obtenir pile à chaque lancer” est négligeable

17
Q

Cours

C’est quoi un système quasi complet d’événements ?

A

Intuitivement : Un système complet d’événements a des événements négligeables près, genre dans les Ak y a des événements négligeables

18
Q

Cours

Donne l’inégalité de Boole

A

Démonstration par récurrence

Valable même en cas de divergence

19
Q

Cours

Que peut on dire d’une union dénombrable d’événements négligeables ?

A

On peut dire pareil d’un inter de presque sûres (on utilise le complémentaire)

20
Q

Exercice

Montre que si on a une famille (A₁,…,Ap) d’événements indépendants, montre que (A₁barre,…,Akbarre,Ak+1,…,Ap) est indépendant.

On pourra commencer par montre que

21
Q

Cours

Qu’appelle t on un événement ?

A

Un élément de la tribu

22
Q

Cours

Définit la probabilité conditionnelle et montre que c’est une proba

A

pour P(B) > 0, P(A|B) = P(A ∩ B)/P(B)

23
Q

Cours

Donne et donne les éléments de démo de la formule générale pour P(∩Aₙ) de n = 0 à +∞

A

Par récurrence

24
Q

Cours

Donne la formule de Bayes, sa forme la plus pratique

25
Cours Donne deux définitions de A et B indépendants
26
Cours On a deux événements indépendants. Que dire de l'indépendance des complémentaires de ces événements ?
27
Cours Donne la définition de mutuelle indépendance
28
Exercice : Borel Cantelli 1
29
Exercice
30
Cours Donne la formule générale des probabilités totale avec les hypothèses
31
Cours Donne la définition d'un famille d'événements indépendants
32
Exercice : Borel Cantelli 2
• on commence avec N et on conclut en utilisant les limites monotones
33
Exercice On considère une urne avec p boules blanches et q boules noires. On effectue n tirages avec n ≤ min(p,q) sans remise. Trouver la probabilité d'obtenir pour la première fois une boule blanche au nième tirage
34
Exercice Au départ la souris est en 1. A chaque tour, la souris saute sur un des deux sommets adjacents (w^(j-1) ou w^(j+1)) avec une proba de 1/2. On cherche une relation de récurrence sur PN,k la proba que la souris se trouve en wᵏ a l'instant N
35
Cours Donne les deux types d'indépendance qu'on a et les liens entre eux
36
Exercice En t'appuyant sur des spectres en amplitude et des approximations de fréquences. Comment on retrouve le signal originel ? Quel type de filtre est il nécessaire d'utiliser. On utilise généralement un ordre 2, pourquoi ? Comment trouve t on sa fréquence de coupure ? Quelles 2 équations imposent nos composants ?