Probabilités Flashcards

(27 cards)

1
Q

Cours

Définit une variable aléatoire discrète. La version avec A un ensemble a la place de x

A
How well did you know this?
1
Not at all
2
3
4
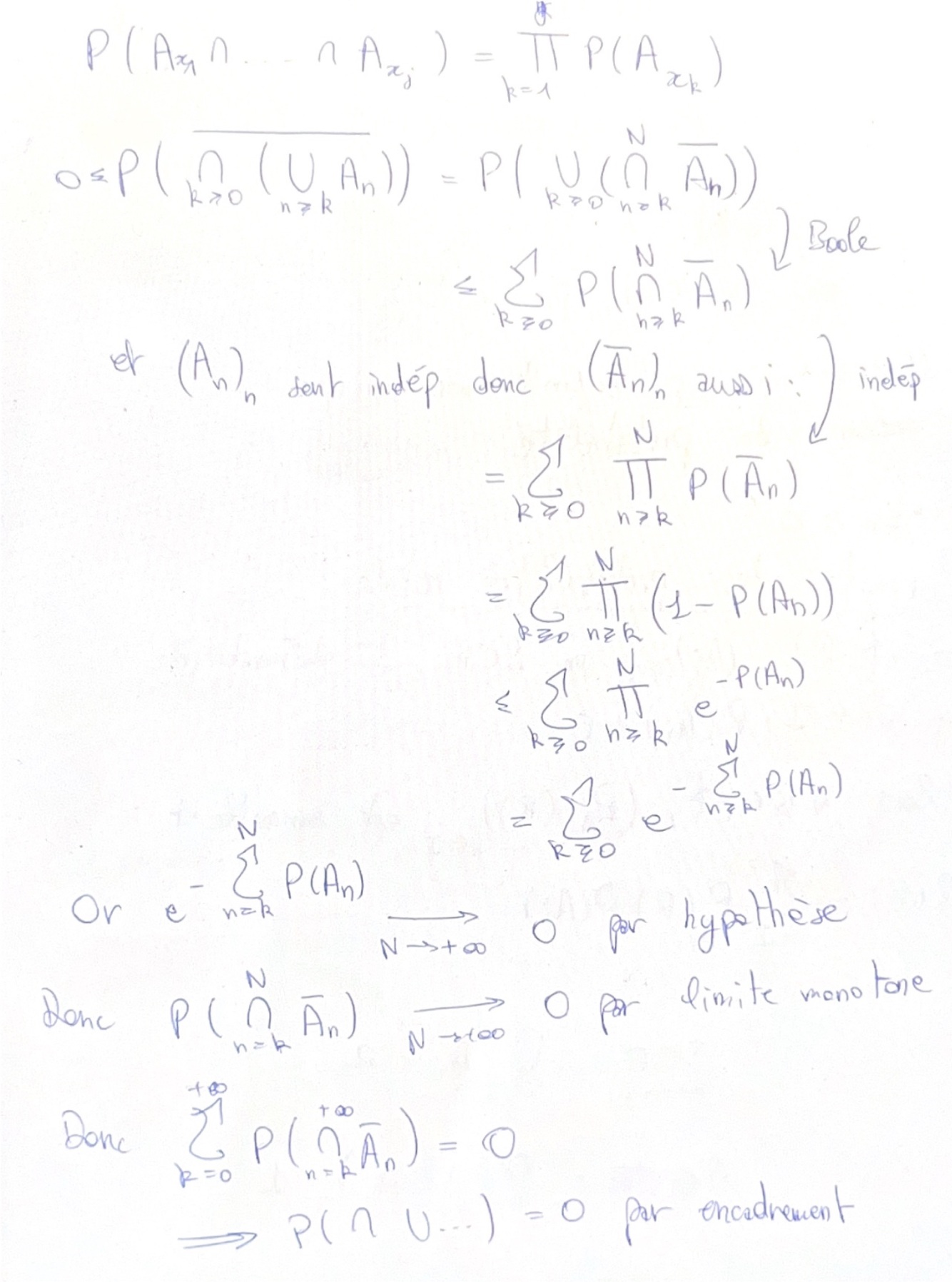
5
Perfectly
2
Q

Cours

Comment on définit { X ∈ A } et { X = x } ?

A

Ce sont bien des ensembles, des événements

How well did you know this?
1
Not at all
2
3
4
5
Perfectly
3
Q

Cours

Donne la définition d’un probabilité. Comment alors lier ça a la sommabilité ?

A
How well did you know this?
1
Not at all
2
3
4
5
Perfectly
4
Q

Cours

Que dire de la probabilité d’une union d’évènements disjoints ?

A

C’est la somme des probabilités mais il faut bien comprendre que c’est grâce au cas infini de la sigma additivité

How well did you know this?
1
Not at all
2
3
4
5
Perfectly
5
Q

Cours

Donne la formule de Grassmann pour les probabilités. Rappelle comment on la démontre

A

On repart toujours de la sigma additivité

How well did you know this?
1
Not at all
2
3
4
5
Perfectly
6
Q

Cours

Donne la définition d’une distribution de probabilité et montre qu’on défini à partir d’elle une mesure de probabilité

A
How well did you know this?
1
Not at all
2
3
4
5
Perfectly
7
Q

Cours

Donne la définition d’un système quasi complet d’évènements. Qu’a t on alors sur l’union des Ek ?

A

La réunion est presque sure sans etre certaine

How well did you know this?
1
Not at all
2
3
4
5
Perfectly
8
Q

Cours

Donne la définition d’une probabilité uniforme. Qu’a t on alors pour une partie A de Omega ?

A
How well did you know this?
1
Not at all
2
3
4
5
Perfectly
9
Q

Cours

Enonce la propriété de continuité croissante

A
How well did you know this?
1
Not at all
2
3
4
5
Perfectly
10
Q

Cours

Enonce la propriété de continuité décroissante

A
How well did you know this?
1
Not at all
2
3
4
5
Perfectly
11
Q

Cours

Quelle propriété on a en général liant la limite et l’union d’évènements ?

A
How well did you know this?
1
Not at all
2
3
4
5
Perfectly
12
Q

Cours

Quelle inégalité très importante on a dans le chapitre ? Ca peut diverger ?

A

Inégalité de Boole

Oui, si ca diverge, on s’en fout

How well did you know this?
1
Not at all
2
3
4
5
Perfectly
13
Q

Exercice : Borel Cantelli 1

A
How well did you know this?
1
Not at all
2
3
4
5
Perfectly
14
Q

Exercice : Borel Cantelli 2

A
How well did you know this?
1
Not at all
2
3
4
5
Perfectly
15
Q

Cours

Donne le théorème des probabilités conditionelles

A
How well did you know this?
1
Not at all
2
3
4
5
Perfectly
16
Q

Cours

Donne la formule des probabilités composées

17
Q

Cours

Donne la formule des probabilités totales en rappelant une convention

18
Q

Cours

Donne la formule de Bayes en rappelant les hypothèses

19
Q

Cours

Donne la loi d’une variable aléatoire discrète.

A

C’est exactement ce qu’on pense. En gros, pour chaque x de X(omega), on regarde la proba sauf que la c’est A ie un ensemble de x

20
Q

Cours

Comment écrire le fait que deux variables aient la même loi ? En quoi elles ne sont alors pas forcément égales ?

A

Elles sont pas forcément égales car elles peuvent êtres définies sur un espace probabilisé différent

21
Q

Exercice

Donne la loi

22
Q

Exercice

23
Q

Exercice

Explique la différence avec une loi binomiale classique

A

Dans une loi binomiale, on fixe un nombre n d’essais et on demande y a combien de succès.

Ici, on fixe un nombre m de succès et on demande y a combien d’essais

24
Q

Révision

C’est quoi le complémentaire de A sachant B

25
Cours Comment montrer que deux variables aléatoires sont indépendantes ?
On calcule P(X = q, Y = k) = ... et on l'égalise avec un produit d'expression de lois connus, genre on "reconnait" telle loi et on attribue du coup les lois aux deux variables et comme c'est un produit bah c'est good, ca veut dire que la proba de l'intersection c'est bien le produit des probas
26
Exercice à connaître c'est un N à la place du n dans la somme
27
Exercice On donne Gn(x) = ((1+x)/2)^n-1 x Déterminer la loi de Nn sachant qu'elle est dans 1,n