Réduction Flashcards

(158 cards)

1
Q

Exercice

Donne la méthode montrer ça facilement

A

On sait qu’ils sont en somme directe (démo de cours). Puis on montre Σdim(Eλ) = dim(E)
⇒ T est diagonalisable donc les sous espaces sont supplémentaires dans E

How well did you know this?
1
Not at all
2
3
4
5
Perfectly
2
Q

Exercice

Démontre que deux matrices semblables ont les mêmes valeurs propres. Donne une condition pour que deux matrices soient semblables

A

Il faut qu’elles soient diagonalisables, mêmes valeurs propres de mêmes multiplicités

How well did you know this?
1
Not at all
2
3
4
5
Perfectly
3
Q

Exercice

très complet sur les polynômes

A
How well did you know this?
1
Not at all
2
3
4
5
Perfectly
4
Q

Exercice

Trouve le déterminant de l’application transposée

A
How well did you know this?
1
Not at all
2
3
4
5
Perfectly
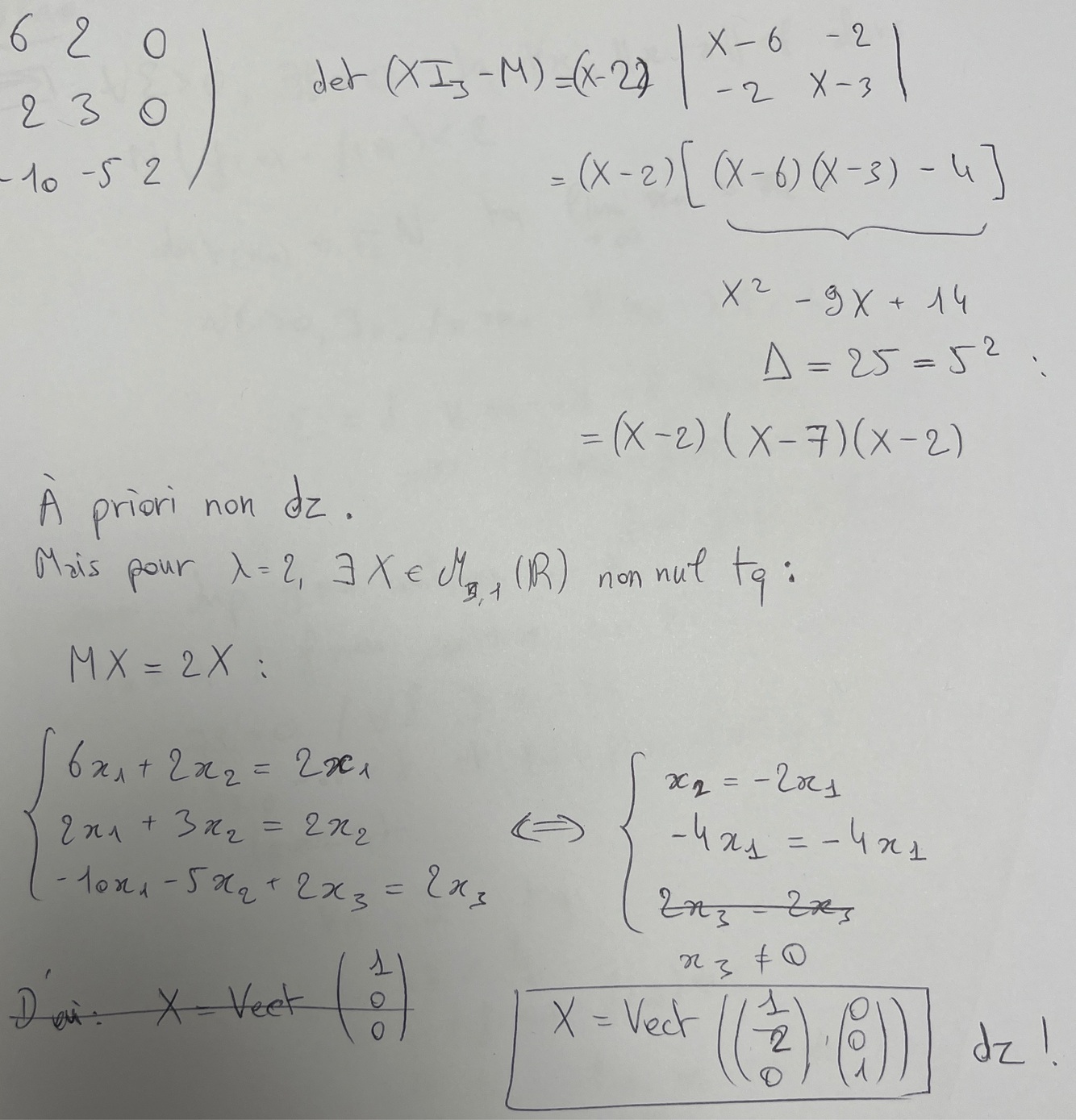
5
Q

Cours

Diagonalise

A
How well did you know this?
1
Not at all
2
3
4
5
Perfectly
6
Q

Cours

Quelle relation a t on dans le cas général entre les valeurs propres de AB et celles de BA ?

A
How well did you know this?
1
Not at all
2
3
4
5
Perfectly
7
Q

Cours

Trouve le polynôme minimal d’un projecteur

A
How well did you know this?
1
Not at all
2
3
4
5
Perfectly
8
Q

Cours

Trouve le polynôme annulateur d’un endomorphisme nilpotent

A
How well did you know this?
1
Not at all
2
3
4
5
Perfectly
9
Q

Cours

Montre que l’indice de nilpotence est inférieur à la dimension de l’espace

A
How well did you know this?
1
Not at all
2
3
4
5
Perfectly
10
Q

Exercice

complet matrices circulantes. C(a₀,..,an-1) est la matrice circulante

A
How well did you know this?
1
Not at all
2
3
4
5
Perfectly
11
Q

Cours

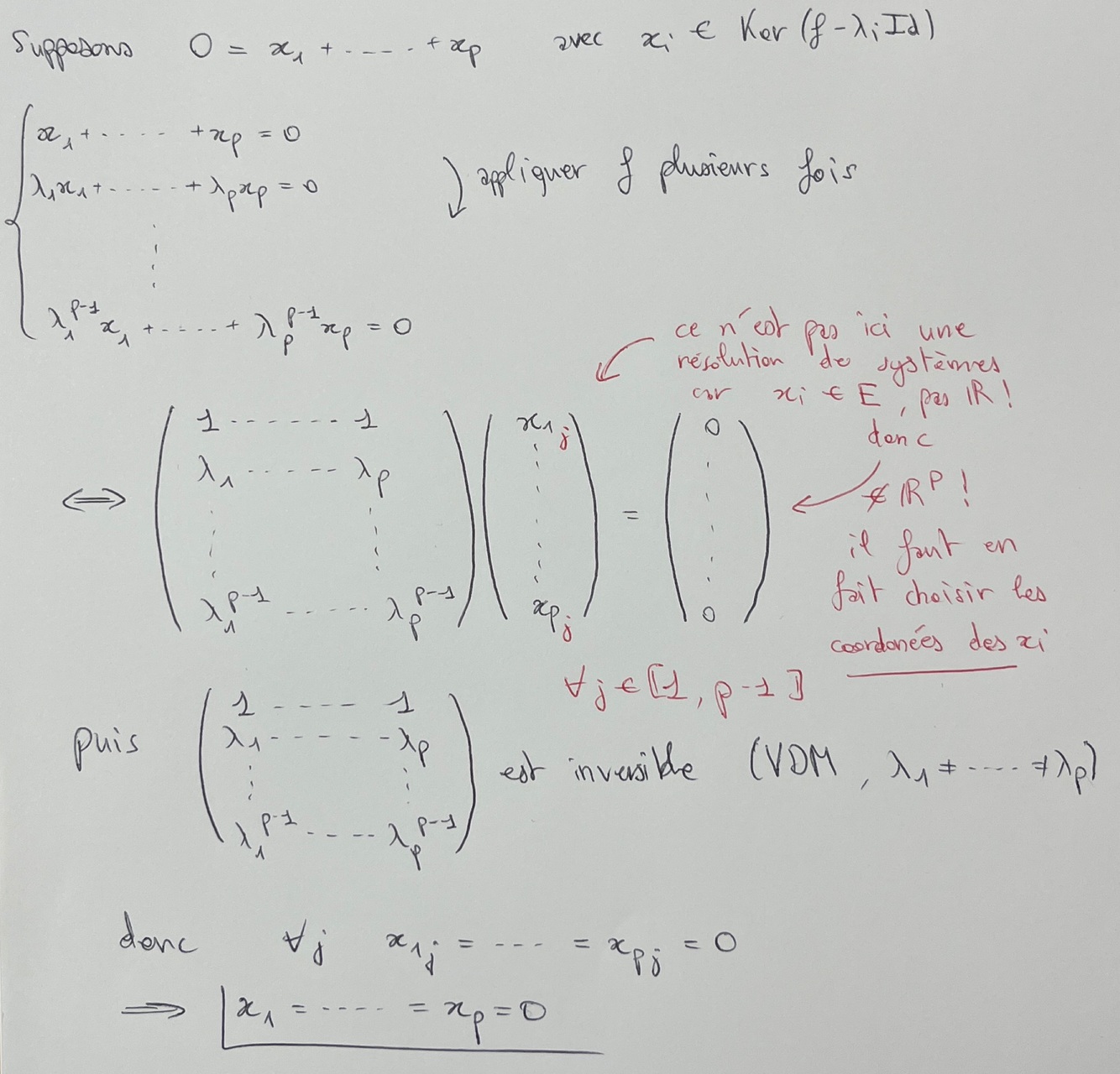
Montre que les sous espaces propres de valeurs propres distinctes sont en somme directe

A

c’est pas une récurrence !

How well did you know this?
1
Not at all
2
3
4
5
Perfectly
12
Q

Cours

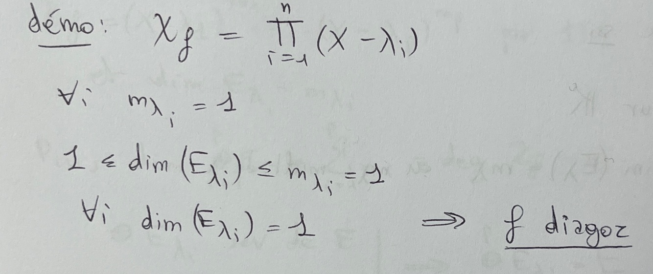
Montre que dim(Eλ(f)) ≤ mλ

A
How well did you know this?
1
Not at all
2
3
4
5
Perfectly
13
Q

Cours

Écrit la def de f diagonalisable et de M diagonalisable

A
How well did you know this?
1
Not at all
2
3
4
5
Perfectly
14
Q

Exercice

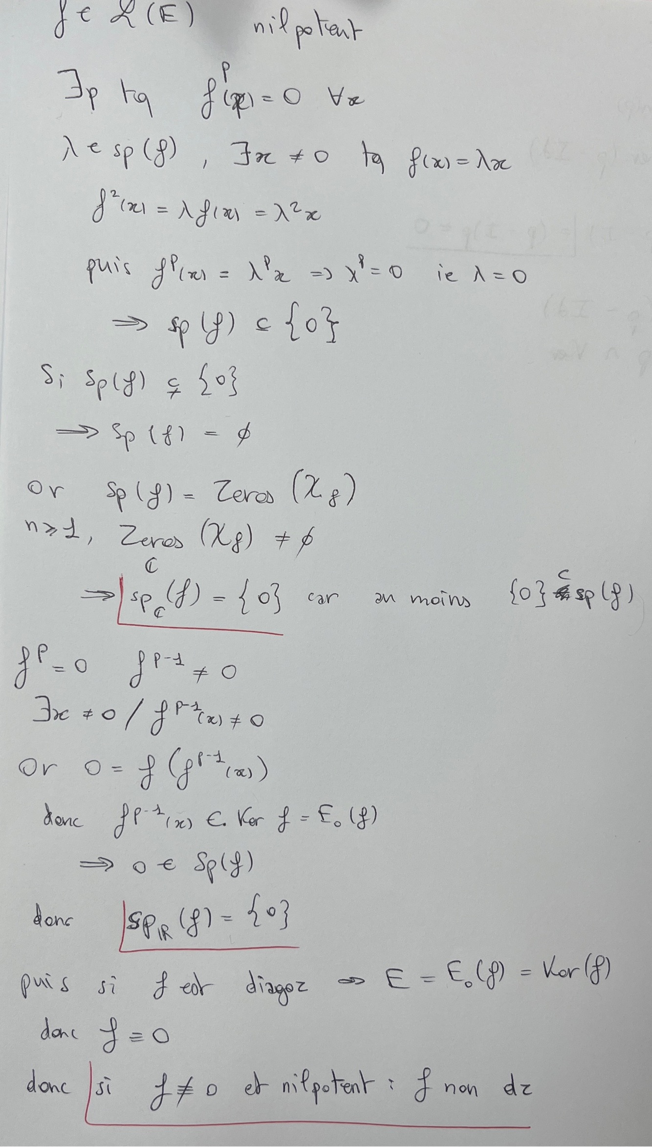
On considère f ∈ ℒ(E) nilpotente. Trouve le spectre de f dans ℝ et dans ℂ. f est il diagonalisable ?

A
How well did you know this?
1
Not at all
2
3
4
5
Perfectly
15
Q

Exercice

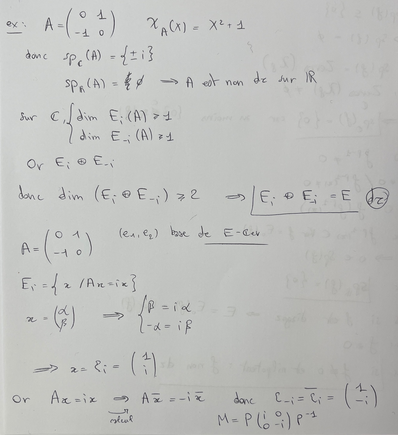
La matrice est elle diagonalisable sur ℝ ? Sur ℂ ? Exhiber ses vecteurs propres x

A
How well did you know this?
1
Not at all
2
3
4
5
Perfectly
16
Q

Exercice

Déterminer les valeurs propres et les sous espaces propres pour cette application. Si on était en dimension finie, est ce qu’elle serait dz ?

A
How well did you know this?
1
Not at all
2
3
4
5
Perfectly
17
Q

Exercice

Est il diagonalisable ? (c’est un +)

A
How well did you know this?
1
Not at all
2
3
4
5
Perfectly
18
Q

Cours

Démontre

A
How well did you know this?
1
Not at all
2
3
4
5
Perfectly
19
Q

Cours

Démontre

A
How well did you know this?
1
Not at all
2
3
4
5
Perfectly
20
Q

Exercice

Détermine l’ensemble des valeurs propres

A
How well did you know this?
1
Not at all
2
3
4
5
Perfectly
21
Q

Cours

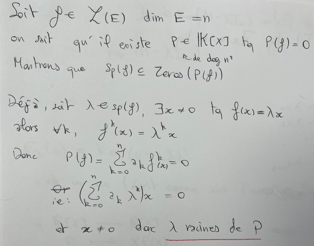
Pour un endomorphisme d’un espace de dimension finie, l’ensemble des polynômes annulateurs est il nul ? Montre que le spectre de f est inclus dans les racines de tout polynômes annulateurs o

A

Il y a aussi un polynôme de degré n qui est annulateur (Cayley-Hamilton)

How well did you know this?
1
Not at all
2
3
4
5
Perfectly
22
Q

Cours

C’est quoi le lien entre le polynôme caractéristique et le spectre de u. Démontre le

A
How well did you know this?
1
Not at all
2
3
4
5
Perfectly
23
Q

Cours

Démontre le théorème de Cayley-Hamilton

A
How well did you know this?
1
Not at all
2
3
4
5
Perfectly
24
Q

Exercice

Démontre ce lemme

A
How well did you know this?
1
Not at all
2
3
4
5
Perfectly
25
Exercice On a une application u diagonalisable. Montre que la restriction de u a F (sev de E) est aussi diagonalisable
26
On considère le polynome ∏(X-λᵢ) avec lambda-i les valeurs propres, toutes les multiplicites sont 1, montre que si le polynôme applique en u est non nul montre que u est non diagonalisable
On suppose u diagonalisable. En fait, on a tout simplement montré que tout polynome scindé à racines simples qui contient au moins toutes les valeurs propres de u annule u (tout multiple du polynome minimal !!)
27
Trouve les polynômes minimaux potentiels en supposant non dz
28
Donne un moyen de calculer les puissances d'une matrice dont les puissances sont plus grandes que le nombres de vp si A est dz.
deg(Rm) ≤ deg(P annulateur)
29
Donne une méthode pour calculer Aⁿ sachant qu'on trouve un polynôme annulateur
30
Cours Deux méthodes pour trouver le polynome caractéristique
autre méthode : det par blocs c'est un +
31
Question de réflexe Sachant qu'on trouve un polynome annulateur de degré 3
appartient*
32
Donne la def de trigonalisation. Donne le théorème dessus et démontre le
33
Exercice Soit M ∈ ℳₙ(𝕂) et qqsoit X ∈ ℳₙ(𝕂), Tr(MX) = 0, que conclure ?
34
Exercice Démontre que toutes matrices de trace nulle est semblable à une matrice de diagonale nulle u
35
Exercice Montre que l'ensemble des matrices de trace nulle est égal à l'ensemble des commutateurs (ie qu'elle s'écrit AB -BA). On supposera que M de trace nulle est semblable à M' de diagonale nulle et que les commutateurs sont stables par similarité.
36
Cours Donne toutes les propriétés conservées par similarité et démontres les (sauf tr et det)
37
Exercice Les matrices Eij et Ekl sont elles semblables ?
38
Question réflexe Que peut on dire du polynôme minimal d'une matrice inversible ?
39
Exercice Montre que pour une matrice inversible et triangulaire supérieure, son inverse est aussi triangulaire supérieure
40
Exercice Dans quel cas est ce que c'est vrai du coup ?
E c'est du coup {...x(-2),x(-1),x(0),...} u est bijective sur E mais pas forcément sur F inclus dans E
41
Si on a u(x) = λₓx, est ce que λₓ est valeur propre ?
Bien sûr, de toutes façons λ est associé à un x donc c'est juste qu'ici il y a un indice qui indique l'association
42
Comment on caractérise de deux manières une homothétie ?
• tout vecteur non nul de E est vecteur propre de u (le principe d'un vecteur propre c'est que c'est un des seuls vecteurs qui est que compresse ou dilaté par l'application, bah c'est ce que fais une homothétie) • Toute droite de E est stable par u
43
Cours Quelle condition on a classiquement sur ℝ pour avoir l'existence d'une valeur propre ? Démontre le
Si l'espace est de dimension impaire
44
Calcule le polynôme caractéristique
45
Écris la définition du polynôme caractéristique et sa forme développée
46
Montre avec les vecteurs propres que les fonctions paires et impaires sont supplémentaires dans E
On travaille avec des vecteurs propres donc on va automatiquement utiliser ou poser une fonction (qui travaille ici dans l'espace des fonctions !)
47
Exercice Soit E un ℂ-espace vectoriel de dimension n. f et g deux endomorphismes qui commutent. Montrer que f et g ont un vecteur propre en commun
48
Est ce qu'il existe toujours un polynôme annulateur d'un endomorphisme ?
Pas forcément en dimension infinie !
49
Exercice rigueur Trouve α, β, γ
50
Question réflexe À quoi faut il faire attention quand on écrit le polynôme caractéristique ?
Si on l'applique à la matrice, on met bien des Iₙ sinon on met rien !!!
51
Exercice rigueur CNS sur k ∈ ℂ pour dz ?
52
Si on a un polynôme annulateur, c'est quoi la relation entre ses racines et les valeurs propres ?
Sp(A) ⊂ Zeros(P)
53
Ça veut dire quoi sur u si son spectre est réduit à une seule valeur propre et diagonalisable
54
Exercice
Et alors si A dz, B est dz par def et si B dz alors comment la matrice ((A,0),(0,2A)) est semblable à B, elle est semblable à une matrice diagonalisable. Or la similarité conserve les valeurs propres et la dimension des espaces propres donc la diagonalisabilité
55
C'est quoi le lien entre le polynôme minimal et les polynômes annulateurs ?
Le polynome minimal divise tout polynôme annulateur (en tant que plus petit annulateur !)
56
Tu trouves une matrice qui vérifie pas dim(E>λ) = m>λ, que peut on conclure direct ?
La matrice est pas diagonalisable ! On a équivalence entre dz ⇔ dim(E>λ) = m>λ pas juste implication
57
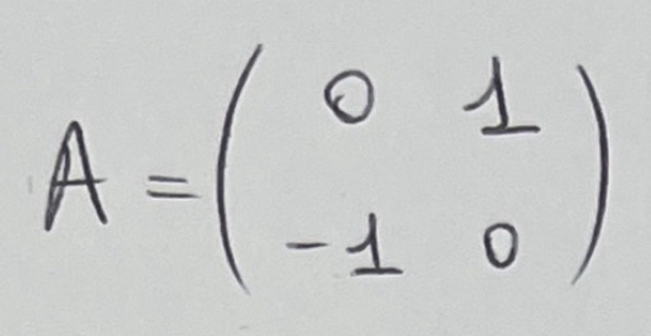
La matrice L est elle diagonalisable ?
58
La matrice O est elle diagonalisable ?
Bien dire que ker(u~ - Id) ⊂ Ker(u - Id) donc les valeurs propres de u~ sont bien aussi valeurs propres de u
59
A ∈ ℳₙ(ℝ), A³ + A² + A = 0. Montrer que son rang est pair
60
Question réflexe Justifie rapidement pourquoi le déterminant ne dépend pas de la base
det(M') = det(PMP⁻¹) = det(M)
61
Exercice rigueur C'est quoi le lemme d'Hadamard ? Démontre alors le théorème de Gerschgorin
62
Question réflexe Comment réécrire e^ikπ
(-1)ᵏ
63
Cette application est elle diagonalisable ?
64
Question réflexe Comment tu montres la diagonalisabilité par somme ensembliste ? Démontre le
65
Question réflexe Quelle méthode faut pas oublier pour le calcul du déterminant d'une matrice ? Par exemple :uu
Calculer en échangeant des colonnes !! On aurai aussi pu voir que M² = -I(2n) !! Et donc comme le spectre est inclus dans le polynome annulateur et que la matrice est réelle, -i et i sont vp de m multiplicité
66
Exercice Montrer que si u admet une droite stable alors elle admet un hyperplan stable en dimension finie
67
Exercice A ∈ ℳₙ(ℂ) ayant n valeurs propres distinctes. Trouver toutes les matrices qui commutent avec A
68
Exercice
69
Exercice Et on rajoute à la fin dénombrer combien de sev. Franchement juste faire la dernière question en admettant les autres
70
Exercice
On vient de classer toutes les matrices nilpotentes de ℳ₃(ℝ).
71
Question réflexe Le polynôme caractéristique d'une matrice est Xⁿ, on peut dire quoi de la matrice ?
Elle est nilpotente (une matrice nulle est un cas cas particulier de matrice nilpotente)
72
Exercice
73
Quelles sont toutes les méthodes pour calculer la puissance d'une matrice ? Met le en œuvre sur cet exemple
- diagonaliser - binôme de Newton (bien faire attention à la commutation) - division euclidienne - récurrence
74
Comment tu montres qu'un endomorphisme est diagonalisable par arguments sur les dimensions ?
75
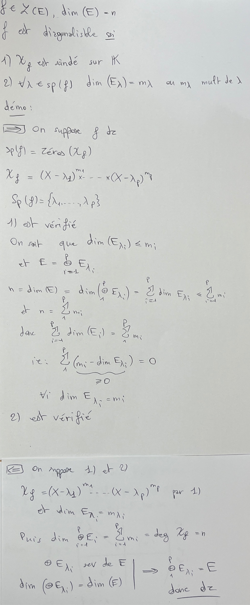
Cours Comment tu montres la diagonalisabilité avec le polynôme caractéristique ? Démontre la propriété
76
Trouve les éléments propres
77
A est elle diagonalisable ?
78
Exercice u est de rang 1. Comment lier u² et u ? x
79
Cours Que vaut LC ?
LC = tr(A) ! ∈ 𝕂
80
Prouver la symétrie de l'application
81
Justifie l'existence d'un polynôme unitaire annulateur de degré minimal pour A.
82
0 il peut être vecteur propre et valeur propre ?
Valeur propre oui et vecteur propre en fait oui (c'est juste un point ou s'annule notre application) mais formellement on l'exclut des vecteurs propres donc non
83
Comment tu justifies rapidement que le rang de deux matrices semblables est le même ?
84
Comment montrer en ayant le polynôme caractéristique qu'il existe un polynôme annulateur minimal de u ?
• Non vide (ꭓ) • famille des degrés finie donc minimum existe
85
Que dire de deux polynômes annulateurs de degrés minimals ?
Ils sont colinéaires pas égaux
86
Cours Comment montrer que u est diagonalisable en utilisant les polynômes annulateurs ?
S'il existe un polynôme annulateur scindé à racines simples
87
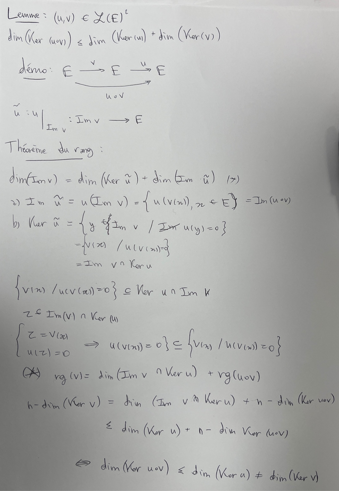
Quelle inégalité a t on sur dim(Ker(u•v)) ?
88
Cours En utilisant le fait que dim(Ker(u•v)) ≤ dim(Ker(u)) + dim(Ker(v)), montre que si on trouve un polynôme annulateur SARS alors l'endomorphisme est diagonalisable
89
Cours Montre que si u est diagonalisable alors elle admet un polynôme annulateur scindé à racines simples
90
Cours Donne deux manières de montrer que cette matrice n'est pas diagonalisable
1. Trouver le sous espace propre associé à 1 (de dimension 1 donc pas dz) 2. **Montrer que tous les polynômes scindé à racines simples candidats à annuler ne sont pas annulateurs**
91
Cours C'est quoi les racines du polynôme minimal ?
Les valeurs propres ! sp(u) ⊂ Zéros(μ) ⊂ Zéros (ꭓ(u)) = sp(u) On a la deuxième inclusion par divisibilité
92
Cours Que dire de la restriction d'un endomorphisme à un sous espace de E en dimension finie.
Il est dz ⇔ F est stable par u
93
Étudie la diagonalisabilité des projecteurs, symétries, nilpotents
94
Donne une manière utile de transcrire A non inversible
∃X ≠ 0 tq AX = 0
95
Montre le lemme d'Hadamard de la diagonale dominante
96
On te dit sp(M) = {0}, M est elle nilpotente ?
• pas forcément si c'est juste le spectre réel, il peut y avoir des racines complexes qui dérangent (et du coup on aura pas ꭓ = Xⁿ) (M peut être aussi nulle)
97
Quelles matrices non diagonalisables peuvent servir à des contre exemples ? Donne alors un exemple de produit de deux matrices qui ne donne pas une matrice diagonalisable
• Des matrices nilpotentes • la matrice i
98
Quelle manière de traduire le fait qu'une matrice soit inversible sur ses puissances successives ?
On peut aussi dire de manière plus stylée : Inversible ⇒ 0 non valeur propre donc x et toutes ses puissances ne divisent pas le polynôme minimal en particulier tous polynôme annulateur de peut pas contenir xᵏ donc Jᵏ ≠ 0
99
Donne une matrice dont le spectre reel est réduit à {0} et qui est pourtant diagonalisable. Calcule ses puissances successives
100
À t on λf dérivable ⇒ f dérivable ?
Il faut **λ ≠ 0**
101
Donne la forme générale d'une matrice compagnon, son polynôme caractéristique ? A quelle condition est elle diagonalisable ?
On fait la division euclidienne de son polynôme par sa dérivée puis on enchaîne jusqu'a trouver un reste constant et s'il est non nul alors le polynôme est SARS ⇒ dz
102
Exercice Montre que A dz ⇔ Φₐ dz
103
Montre que si f et g commutent et sont diagonalisables, il y a une base commune de diagonalisation
104
Montre que la matrice O est diagonalisable
105
Exercice
106
T'es face à un polynôme de degré impair, qu'est ce que tu peux dire immédiatement ?
Il admet une racine réelle car TVI + limites en ∞ **attention car ça dépend du signe du coefficient dominant**
107
Exercice A ∈ ℳₙ(ℂ) diagonalisable telle que B² = A. Comment trouver B ? Montre qu'il n'y a pas de solutions pour A non diagonalisable (on prend une matrice nilpotente
108
Trigonalise
109
Exercice
110
Exercice
111
Exercice Fais pas Q9
112
Exercice p est l'indice de nilpotence
113
Exercice
114
Cours Comment on montre que tr(A) = Σλ ?
On se place dans ℂ et on a d'après d'Alembert Gauss la trigonalisation et comme la trace est conservée par similarité c'est bon
115
Montre que si A est diagonalisable alors A² aussi, que peut on en déduire ?
116
Exercice
117
Exercice
118
Exercice
119
Exercice Montre que deux endomorphismes trigonalisables qui commutent sont cotrigonalisables
120
Exercice Montrer qu'une **famille** d'endomorphismes diagonalisables sont codiagonalisables. On travaillera pas récurrence
Déjà, il faut connaître le cas à dégager : homotethies Ensuite, une fois qu'on l'a dégagé, on va travailler sur un seul endomorphisme. Cette fois, on dit bien qu'il commute avec TOUT les autres. Ensuite, pour utiliser l'hypothèse de récurrence, on pose F et G des sous espaces propres tq F ⊕ G = E et comme on est en récurrence forte, on fait de la magie sur chacune de ces sous espaces (parce que les endormophismes induits commutent !)
121
On a u diagonalisable. Qu'est ce qu'il nous faut pour que les sous espaces de u soient stables par v et inversement, qu'est ce qu'il nous faut pour avoir la commutation ?
122
Écrire AX ça nous fait penser à quoi ? Alors écrire XA doit nous faire penser à quoi ?
123
Question réflexe M est vecteur propre
M ≠ 0 donc il y a au moins un des termes du produit qui est de déterminant nul (non inversible)
124
Question réflexe Tu vois AX, faut penser à quoi ? XA ?
125
Question réflexe C'est quoi la relation en général entre la somme directe des sous espaces propres et E ?
⊕ Ei sev de E
126
Question réflexe C'est quoi le degré du polynôme caractéristique ?
EXACTEMENT n
127
Qu'est ce qu'on a comme relation pour dim(E + F) ?
En dimension finie, dim(E + F) = dim(E) + dim(F) - dim(E ∩ F)
128
Qu'est ce qu'on a pour M nilpotente sur M + Iₙ ?
M + Iₙ est inversible
129
C'est quoi la formule pour la trace en général ?
Σλᵢmᵢ
130
Question réflexe On définit dans l'énoncé ce qu'est une matrice nilpotente et on demande de montrer qu'est ce qu'un endomorphisme nilpotente d'indice 1
Il faut soi même définir ce qu'est un endomorphisme nilpotent !
131
Question réflexe rigueur
132
Quels réflexes on peut avoir quand on écrit une matrice simple d'un endomorphisme dans une base ?
L'écrire comme diag(...) !
133
Question réflexe Montre que les seules valeurs propres d'une matrice nilpotente sont 0. Que vaut son polynôme caractéristique ?
2. A matrice nilpotente : 0 seule valeur propre ⇒ seule racine de son polynôme caractéristique est 0 (**racines du polynôme caractéristique sont exactement les valeurs propres**). De plus, ꭓ est unitaire, de degré n et scindé sur ℂ donc ꭓ = Xⁿ
134
Comment on justifie qu'on lit les valeurs propres d'une matrice triangulaire sur sa diagonale ?
ꭓ = det(XIₙ - A) = ... (définition du déterminant sur une matrice triangle)
135
Question réflexe On suppose P annulateur de A nilpotente et on admet Q18
136
Exercice **partie 1** On admettra que A² = 0 et que A est de rang 1. Démontrer que A est semblable à la matrice diag(J₂,J₁) avec J la matrice avec des 0 sur la sous diagonale. On calculera P la matrice de passage i
137
Exercice **partie 2**
138
Question réflexe
R^6 = 0 donc indice de nilpotence 5 ou 6. Or J₃ est une matrice de taille 3 donc l'indice de nilpotence est plus grand que la dim de l'espace, pas de solutions
139
Exercice réflexe
140
Exercice classique réflexe rigueur Calculer le rang de Jα^j pour j un entier naturel. En déduire que Jα est nilpotente et préciser son indice de nilpotence
141
Comment tu montres rapidement que (cos(ax))(a ≥ 0) est libre ?
D opérateur de dérivation : cos(ax) est vecteur propre de D² pour la valeur propre a² donc comme sous espaces propres en somme directe ...
142
Question réflexe Si spectre(A) est de dimension 1, à quelle condition A est diagonalisable ?
Si elle est une homotethie (on a équivalence)
143
Dans quel cas canonique dans ce chapitre on a E = Ker(f) ⊕ Im(f) ?
Si f est diagonalisable !! Puisque Im(f) = ⊕ Eλ(f) avec λ ≠ 0
144
C'est quoi le rapport entre la trace, le déterminant et les valeurs propres dans le cas général ?
**on se place dans ℂ**
145
A quelle condition le trace et le det c'est la somme et le produit des valeurs propres ?
⇔ le polynôme caractéristique est scindé !!
146
On a quoi comme expression de ꭓA ?
• det(X-λᵢId) • Xⁿ - tr(A)Xⁿ⁻¹ + ... + det(A) • ∏(X-λᵢ)
147
Exercice Comment tu montres que cette matrice est semblable à une matrice triangulaire sachant que T est triangulaire ?
On a directement l'existence d'une base de trigonalisation dans laquelle le gros bloc est triangulaire !!
148
Exercice de révision très bien Que la partie III
149
Suite exo précédent
150
Révision À quelle condition le déterminant c'est le produit des valeurs propres ?
Aucune !! (Juste que la matrice soit carrée évidemment), ça vient de la forme développée du polynôme caractéristique
151
Révision
152
QUESTION : matrice L restriction a l'image Quand on analyse la matrice O, on dit que les valeurs propres restantes sont dans l'image mais c'est pas exactement ce qu'on dit en fait nan ? On dit que les valeurs propres restantes sont nécessairement dans un sev F en somme directe avec ker isomorphe à Im et comme on trouve que dans Im, y a deux valeurs propres distinctes et qu'il en manquait 2 c'est forcément celles là ? A priori on pourra dire que les valeurs propres restantes sont EXACTEMENT dans Im(f) si il y avait supplémentaire entre Im(f) et Ker(f) mais la c'est pas le cas a priori ?
153
Révision On a deux sous ensembles U et V supplémentaires dans E et u un endomorphisme
154
Révision Peut on parler d'hyperplan en dimension infinie ?
Oui juste on a pas dim n-1 juste on appelle ça la codimension
155
Révision Pourquoi toutes les matrices sont trigonalisables sur ℂ en fait ?
Parce que toutes matrices a coefficients complexes (donc les réels aussi) ont des polynômes a coefficients complexes qui sont scindés sur ℂ d'après d'Alembert Gauss donc trigonalisables sur ℂ
156
Révision : exercice n ∈ ℕ. On a une matrice dont le polynôme caractéristique est Xⁿ-1. Est elle diagonalisable dans Mₙ(ℝ) ?
157
Révision On te dit que 𝒜 est l'ensemble des matrices de Mₙ(ℝ) d'une certaine forme. On te demande si c'est un sous espace de ℳₙ(ℂ), réflexe ?
A ∈ 𝒜 mais iA ∉ 𝒜 car c'est un sous espace réel !
158
Révision Cette application est elle une norme ?
N une matrice nilpotente de ℳₙ(ℝ) (**on prend un exemple de dimension n !**) alors toutes ses valeurs propres sont nulles. On a donc p(M) = 0 et M ≠ 0 donc S n'est pas une norme **sauf si n = 1** !