General Present Value Formula

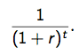
Discount Factor for year t

Annual Percentage Rate (APR)
The quoted rate
Effective Annual Rate (EAR)

PV of a perpetuity

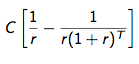
PV of an Annuity

Compounding
the process where the value of an investment increases because the earnings on an investment, both capital gains and interest, earn interest as time passes.
Perpetuity
Perpetuity refers to an infinite amount of time. In finance, it is a constant stream of identical cash flows with no end, such as with the British-issued bonds known as consols. The concept of a perpetuity is also used in financial theory, such as in the dividend discount model (DDM).
Real interest rate formula

Growing perpetuity formula
