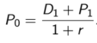
Price and expected return

Equation for the initial stock price P0:

The dividend yield of a stock is

Dividend yield
A financial ratio that indicates how much a company pays out in dividends each year relative to its share price. Dividend yield is represented as a percentage and can be calculated by dividing the dollar value of dividends paid in a given year per share of stock held by the dollar value of one share of stock.

Earnings per share ratio

General valuation formula for stocks:

Constant growth valuation formula.

Dividend growth in year t is

Expected return estimate

Tools for Valuation Analysis

Present Value of Growth Opportunities
