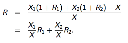
The return on portfolio formula
It is a weighted average of the returns on the individual stocks.

Portfolio weight definition
Portfolio weight is the percentage composition of a particular holding in a portfolio. Portfolio weights can be calculated using different approaches; the most basic type of weight is determined by dividing the dollar value of a security by the total dollar value of the portfolio. Another approach is to divide the number of units of a given security by the total number of shares held in the portfolio.
Short selling

Portfolio standard deviation is

Portfolio Variance
Portfolio variance is a measurement of how the aggregate actual returns of a set of securities making up a portfolio fluctuate over time. This portfolio variance statistic is calculated using the standard deviations of each security in the portfolio as well as the correlations of each security pair in the portfolio.


correlation between two SD.
the standard deviation of a portfolio of two stocks is
given by

Portfolio frontier
The efficient frontier is the set of optimal portfolios that offers the highest expected return for a defined level of risk or the lowest risk for a given level of expected return. Portfolios that lie below the efficient frontier are sub-optimal, because they do not provide enough return for the level of risk. Portfolios that cluster to the right of the efficient frontier are also sub-optimal, because they have a higher level of risk for the defined rate of return.
The expected return for an individual investment is
the sum of the probabilities of the possible expected returns for the investment.

To determine the expected return on a portfolio, the weighted average expected return of the assets that comprise the portfolio is taken. Formula:

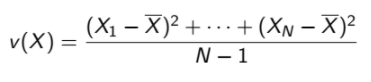
Variance of investment

Covariance definition
The covariance is the measure of how two assets relate (move) together. If the covariance of the two assets is positive, the assets move in the same direction. For example, if two assets have a covariance of 0.50, then the assets move in the same direction. If however the two assets have a negative covariance, the assets move in opposite directions. If the covariance of the two assets is zero, they have no relationship.
Correlation coeficient

Systematic Risk definition
These are market risks that cannot be diversified away. Interest rates, recessions and wars are examples of systematic risks.
Idiosyncratic Risk definition
Also known as “specific risk,” this risk is specific to individual stocks and can be diversified away as the investor increases the number of stocks in his or her portfolio. In more technical terms, it represents the component of a stock’s return that is not correlated with general market moves.
The portfolio return on a riskless asset formula
Let “w” denote the weight on risky asset.

The expected return on a riskless asset is

The variance and standard deviation of the portfolio with a riskless asset are

Sharpe ratio
