relationship between X and Y via a linear regression model of the form

The slope coefficient estimate is given by (Regression Estimates)

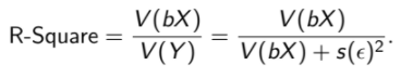
R-Squared
a statistical measure that represents the percentage of a fund or security’s movements that can be explained by movements in a benchmark index.
R-squared values range from 0 to 1 and are commonly stated as percentages from 0 to 100%. An R-squared of 100% means all movements of a security are completely explained by movements in the index. A high R-squared, between 85% and 100%, indicates the fund’s performance patterns have been in line with the index. A fund with a low R-squared, at 70% or less, indicates the security does not act much like the index. A higher R-squared value indicates a more useful beta figure. For example, if a fund has an R-squared value of close to 100% but has a beta below 1, it is most likely offering higher risk-adjusted returns.

Regression equation for asset n is

Beta definition
the beta (β or beta coefficient) of an investment indicates whether the investment is more or less volatile than the market as a whole. In general, a beta less than 1 indicates that the investment is less volatile than the market, while a beta more than 1 indicates that the investment is more volatile than the market. Volatility is measured as the fluctuation of the price around the mean: the standard deviation.

Alpha coefficient definition
Indicates how an investment has performed after accounting for the risk it involved:

Sigma definition
Sigma is the standard deviation of En, the asset’s idiosyncratic risk.
The expected excess return of asset n depends on

The CAPM
helps us to calculate investment risk and what return on investment we should expect.

The market portfolio
A market portfolio is a theoretical bundle of investments that includes every type of asset available in the world financial market, with each asset weighted in proportion to its total presence in the market. The expected return of a market portfolio is identical to the expected return of the market as a whole.
The market portfolio is an essential component of the capital asset pricing model (CAPM). The CAPM shows what an asset’s expected return should be based on its amount of systematic risk. The relationship between these two items is expressed in an equation called the security market line.
Beta & sigma rule
An asset’s expected return depends on the asset’s risk:
Systematic risk is ____ in the market. Idiosyncratic risk is not.
priced. In other words - the relevant measure of asset risk
is beta and not the variance.
The Capital Market Line (CML)
According to CAPM, the tangent portfolio coincides with the market portfolio (T = M).

The Security Market Line (SML)
a visual of the capital asset pricing model (CAPM), where the x-axis of the chart represents risk in terms of beta, and the y-axis of the chart represents expected return. The market risk premium of a given security is determined by where it is plotted on the chart in relation to the SML.

The formula for calculating the expected return of an asset given its risk is as follows:
