Multi-Period Binomial Model

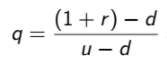
Risk-neutral probability:

Two-period binomial example



value of the call at t = 0

Replication method

Theorem on Early Exercise of an American Call
It is never optimal to exercise early an American call on a
non-dividend paying stock.
Theorem on Early Exercise of an American Put
the price of an American put on a non-dividend paying stock
may be greater than the price of the corresponding European put. It may be optimal to exercise early an American put on
non-dividend paying stock.
Black-Scholes price for a call:

Properties of the Black-Scholes Prices

Practical Implementation of Black-Scholes Model

Historical Volatility - steps to calculate

Implied volatility
