MATH!!! Desmos approved Flashcards

(12 cards)

1
Q

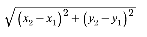
What is the distance formula?

A
How well did you know this?
1
Not at all
2
3
4
5
Perfectly
2
Q

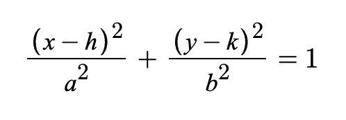
Standard form of elipses?

A
How well did you know this?
1
Not at all
2
3
4
5
Perfectly
3
Q

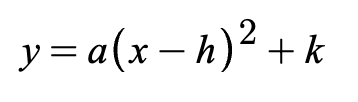
Standard form of parabolas?

A
How well did you know this?
1
Not at all
2
3
4
5
Perfectly
4
Q

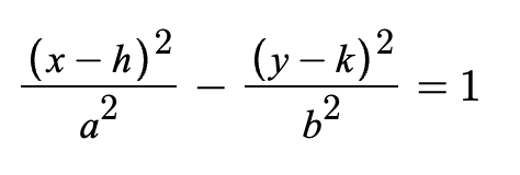
Standard form of hyperbolas?

A

x-h and y-k are interchangeable

How well did you know this?
1
Not at all
2
3
4
5
Perfectly
5
Q

Sum of the interior angles of a polygon formula?

A

(n - 2) * 180

How well did you know this?
1
Not at all
2
3
4
5
Perfectly
6
Q

Measure of each interior angle formula?

A

((n - 2) * 180)/n
or
180-360/n

How well did you know this?
1
Not at all
2
3
4
5
Perfectly
7
Q

Number of diagonals in a polygon formula? (n = number of sides)

A

(n(n - 3))/2

How well did you know this?
1
Not at all
2
3
4
5
Perfectly
8
Q

Sector of a circle formula?

A
How well did you know this?
1
Not at all
2
3
4
5
Perfectly
9
Q

Intersecting Chords Theorem?

A

(AE)(EB) = (CE)(ED)

How well did you know this?
1
Not at all
2
3
4
5
Perfectly
10
Q

Secant-Secant Theorem

A

(PA)(PB) = (PC)(PD)

How well did you know this?
1
Not at all
2
3
4
5
Perfectly
11
Q

Formula for inversely related? (x1, y1) and (x2, y2)

A

(x1 * y1) = (x2 * y2)

How well did you know this?
1
Not at all
2
3
4
5
Perfectly
12
Q

Formula for directly related? (x1, y1) and (x2, y2)

A

(x1/y1) = (x2/y2)

How well did you know this?
1
Not at all
2
3
4
5
Perfectly