List the Non-covalent (NC) Intermolecular Forces:
Key Noncovalent Interactions
Force between oppositely charged species
Ionic interactions
A type of weak noncovalent force of attraction between a H atom attached to a N, O, or F aton and a N, O, or F aton on another molecule (or part of the same molecule)
Hydrogen Bonding
Weak interaction between uncharged but polarizable groups
Van der Waals forces
A _________can form between residues of opposite charge in protein
salt bridge
The balance between attractive and repulsive forces in van der Waals forces determines the optimal _____________
VdW contact distance—“van der Waals radius”
_____ is an indirect effect of the high polarity of water
The hydrophobic effect
Water is ________ when __________ or groups cluster together
less ordered (entropy is higher); hydrophobic molecules
Know as the “helix breaker”
Proline














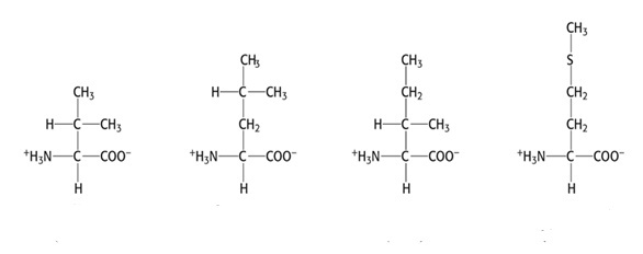
Group 1 AAs: Nonpolar, aliphatic R group
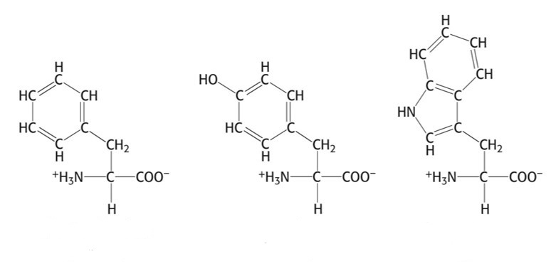
Group 2: Aromatic Side Chain
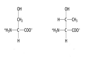
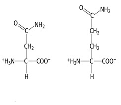
Group 3: Polar, uncharged side chain
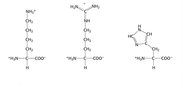
Group 4: Positively charged Side Chain (Basic)
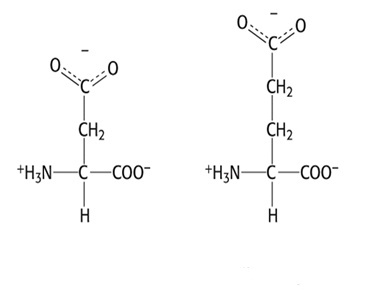
Group 5: Negatively Charged Side Chain (Acidic)
Has an imino group
Proline
Aromatic Side Chain that absorbs the most light
Trp