Substrate Utilization 2 Flashcards

Mastery (13 cards)

1
Q

36 carbons FFA goes thru … cycles and produces ,.. AcoA

which is the most efficient subtrate and why

which compares females to males in exercise

A

17, 18

Carb, becuase carbs produces more atp per molecule of oxygen

Females have more type 1, lower rates of SR, greater mitochondria respirations
higher cappillary density

How well did you know this?
1
Not at all
2
3
4
5
Perfectly
2
Q

The balance of lipid and carbohydrate use;

From resting state to exercise at ~…% of VO 2max …(specifically …) is the major energy source

Carbohydrate oxidation predominates in working muscles at …% of VO 2max

Lipid is used sparingly, especially when exercise intensity is …% of VO2max

what do you use carbs for at rest?

A

The balance of lipid and carbohydrate use;

From resting state to exercise at ~60-65% of VO 2max , Fat oxidation (specifically plasma FF acid) is the major energy source

Carbohydrate oxidation predominates in working muscles at >~60-65% of VO 2max

Lipid is used sparingly, especially when exercise intensity is greater than 65% of VO2max

brain, immune system

How well did you know this?
1
Not at all
2
3
4
5
Perfectly
3
Q
A

65% is the greatest fat
FFA gradually decreases

How well did you know this?
1
Not at all
2
3
4
5
Perfectly
4
Q

There are exponential increments in … and … as functions of relative exercise intensity (i.e. % of VO 2max )

There is a multi-component response of … and … utilization with different intensities of exercise

During exercise < 60-65% of VO2max , … is the major energy source

The … utilization is at 65% of VO2max

FFA oxidation is predicted to … as … is approached

A

There are exponential increments in muscle glycolysis and glycogenolysis as functions of relative exercise intensity (i.e. % of VO 2max )

There is a multi-component response of plasma FFA and triglycerides utilization with different intensities of exercise

During exercise < 60-65% of VO2max , plasma FF acid is the major energy source

The maximal muscle triglyceride utilization is at 65% of VO2max

FFA oxidation is predicted to reach minimal values as VO2max is approached

How well did you know this?
1
Not at all
2
3
4
5
Perfectly
5
Q

Relative contribution of blood-borne and intramuscular substrates to energy production during 120 min of exercise at 25% VO2max

Relative contribution of blood-borne and intramuscular substrates to energy production during 120 min of exercise at 65% VO2max

DESCRIBE

A

Relative contribution of blood-borne and intramuscular substrates to energy production during 120 min of exercise at 25% VO2max

Relative contribution of blood-borne and intramuscular substrates to energy production during 120 min of exercise at 65% VO2max

as you increase intensity, muscle glycogen goes down
plasma FFA increases
Muscle triglyceride, depletes at the start

How well did you know this?
1
Not at all
2
3
4
5
Perfectly
6
Q

EXAMMMMMMM
RER - lactate - which goes longer - blood glucose

3 days in a row just carbs, mixed fat and carbs, one group just fat

High-intensity exercise, carbs help to elongate exercise
BLOOD GLUCOSE: they started higher and maintained higher and went longer

RQ is the same,
Carb people had a higher RER, using more carbs,
mixed level of lactate was much higher. WHERE, anaerobic glycolysis, more carbs, more lactate
DURING FASTING MONTH, HE FEELS LESS PAIN IN EXERCISE,
high fat group, doesnt produce lactate, as lipolysis does not produce lactate

IF YOU WANT TO BURN FAT, DONT EAT CARBS, your body will always eat the carbs when available

A

CARB diet:
- RER is higher
- lactate is higher
- exercise can go longer
- blood glucose remains high

How well did you know this?
1
Not at all
2
3
4
5
Perfectly
7
Q
  • Muscle glycogen content of the quadriceps varied after different … and after the …
  • Glycogen content after the … diet was higher than … diet.
  • The average cycling time was 59, 126 and 189 min after Protein+ fat, mixed and carb diets, respectively,
  • Cycling time was correlated with … content and … content of the working muscle is a determinant of the capacity to perform …
  • Three days of fat + protein diet after exhaustive work … content to more than about 30% of the initial value
  • The … diet … range
A
  • Muscle glycogen content of the quadriceps varied after different diets and after the cycling exercises.
  • Glycogen content after the carb diet was higher than mixed and Fat+protein diet.
  • The average cycling time was 59, 126 and 189 min after Protein+ fat, mixed and carb diets, respectively,
  • Cycling time was correlated with initial glycogen content and glycogen content of the working muscle is a determinant of the capacity to perform long and heavy exercise.
  • Three days of fat + protein diet after exhaustive work did not synthesize the muscle glycogen content to more than about 30% of the initial value, whereas the carbohydrate diet raised the concentration to far above the normal range (see the figure in the last slide)
How well did you know this?
1
Not at all
2
3
4
5
Perfectly
8
Q

Diet: Blood glucose during exercise

A

carb diet maintained blood glucose higher, and could exercise for longer

How well did you know this?
1
Not at all
2
3
4
5
Perfectly
9
Q

3) Substrate availability and substrate oxidation

Carb loading: Elevating pre-exercise muscle glycogen contents above normal resting values:
* has … …-intensity exercise lasting less than … minutes.

  • has … on … - intensity lasting … minutes.
  • has … on ~…% in endurance events lasting …
A

3) Substrate availability and substrate oxidation

Carb loading: Elevating pre-exercise muscle glycogen contents above normal resting values:
* has NO effect on high-intensity exercise lasting less than 5 minutes. FAT

  • has NO effect on moderate (low)- intensity lasting 60 to 90 minutes.
  • postpones fatigue by ~20% in endurance events lasting more than 90 minutes.
How well did you know this?
1
Not at all
2
3
4
5
Perfectly
10
Q

4) Sex and substrate oxidation

  • Respiratory exchange ratio (RER) and whole-body fat oxidation during exercise in females and males.
  • There is a higher … during exercise in females at the whole-body level. …
  • Fat oxidation contributes to a … of energy production during exercise in … versus …

RER in males and females

A

4) Sex and substrate oxidation

  • Respiratory exchange ratio (RER) and whole-body fat oxidation during exercise in females and males.
  • There is a higher fat oxidation during exercise in females at the whole-body level. RER IS LOWER
  • Fat oxidation contributes to a higher percentage of energy production during exercise in females versus males

RER HIGHER IN MALES AND LOWER IN FEMALES
females use more fat, males more carbs
so males have higher RER during most exercise

How well did you know this?
1
Not at all
2
3
4
5
Perfectly
11
Q
A
How well did you know this?
1
Not at all
2
3
4
5
Perfectly
12
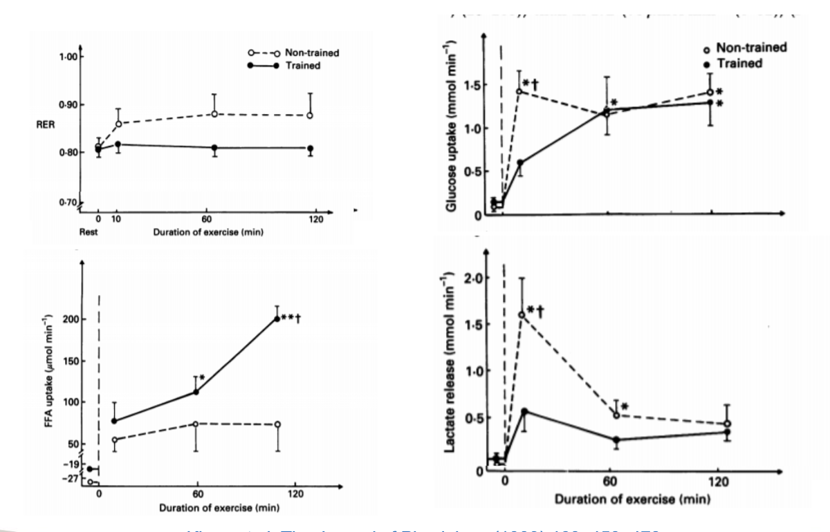
Q

untrained use more carbs and have a higher RER
trained people use more fat, lower RER
FFA is higher in trained than untrained - 65% - untrained uses more carbs at the same intensity, trained can still use fat

Compared to untrained individuals with a lesser aerobic capacity, endurance-trained athletes with a greater aerobic capacity:
* Perform a given task at a … (i.e. % of VO2max );
* Derive a lower percentage of energy from … fuel sources (…, …, and …);
* Drives a greater percentage of energy from … (e.g. … and …);

A

untrained use more carbs and have a higher RER
trained people use more fat, lower RER
FFA is higher in trained than untrained - 65% - untrained uses more carbs at the same intensity, trained can still use fat

Compared to untrained individuals with a lesser aerobic capacity, endurance-trained athletes with a greater aerobic capacity:
* Perform a given task at a lower relative exercise intensity (i.e. % of VO2max );
* Derive a lower percentage of energy from carbohydrate fuel sources (glycogen, glucose, and lactate);
* Drives a greater percentage of energy from lipid energy sources (e.g. plasma FFA and intramuscular triglycerides);

How well did you know this?
1
Not at all
2
3
4
5
Perfectly
13
Q
  • Advantage of lipid oxidation is revealed when the … of lipid is considered!
  • Lipid oxidation: 9.1 kcal/g energy
  • Carbohydrate: 4.2 kcal/g energy
  • 9.1/4.2 = 2.17/g
  • Conclusion: … times /… greater energy yield per … for lipid compared to carbohydrate
  • RER = V̇CO2 / V̇O2
  • During exercise < 60-65% of VO2max , … the major energy source
  • Carbohydrate oxidation predominates in working muscles at …% of VO2max
  • Preloading muscle glycogen above normal resting values …
  • Endurance training improves withdrawal of required energy from …
A
  • Advantage of lipid oxidation is revealed when the unit weight of lipid is considered!
  • Lipid oxidation: 9.1 kcal/g energy
  • Carbohydrate: 4.2 kcal/g energy
  • 9.1/4.2 = 2.17/g
  • Conclusion: 2.17 times /unit of weight greater energy yield per gram for lipid compared to carbohydrate
  • RER = V̇CO2 / V̇O2
  • During exercise < 60-65% of VO2max , plasma FF acid is the major energy source
  • Carbohydrate oxidation predominates in working muscles at >~60-65% of VO2max
  • Preloading muscle glycogen above normal resting values enhances endurance performance
  • Endurance training improves withdrawal of required energy from lipid energy sources
How well did you know this?
1
Not at all
2
3
4
5
Perfectly