What is the nature of standing (stationary) waves?
How are standing waves formed?
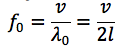
What is the fundamental mode of vibration (first harmonic)?
Vibration where the wavelength is 2L (L = the length of the string)
What is the fundamental frequency, f0, of a string?

What are the wavelengths and corresponding frequencies of the harmonics?

Describe the modes of vibration on a stretched string

What is the fundamental wavelength of a pipe with open ends, closed ends, and one open and one closed end?
Both ends open = 2L
Both ends closed = 2L
One open one closed = 4L
Compare standing waves and travelling waves

What is meant by the Doppler effect?
The change of frequency that is detected when there is relative motion between a source and a receiver of waves.
What kind of waves can show Doppler effect?
Any kind
Describe the shape of wavefronts during Doppler effect
What is the equation for Doppler effect for sound for a moving source?
f’ = frequency received
us = speed of the source
v = the speed of the wave
+ if moving away from the observer

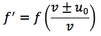
What is the equation for Doppler effect for sound for a moving observer?
f’ = frequency received
u0 = speed of the observer
v = the speed of the wave
+ if moving towards from the observer

What is the equation for Doppler effect for electromagnetic waves?
v = speed between the source and the observer
Can be used if v << c

How can Doppler effect be used to measure speed?
Sketch the variation with angle of diffraction of the relative intensity of light diffracted at a single slit
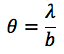
How is the formula θ = λ/b for the position of the first minimum of the diffraction pattern produced at a single slit derived?
θ = λ/b → the angle for the first minimum of a single slit diffraction pattern

Sketch the variation with angle of diffraction by two point sources that has been diffracted at a single slit (resolution)

What is the Rayleigh criterion?
Two points sources are just resolved if the first minimum of the diffration pattern of one occurs at the same angle as the central maximum of the other.
Apply the Rayleigh’s criterion to a picture through a narrow slit
The images of two sources can be just resolved through a narrow slit, of width b, if they have an angular separation of:

Apply the Rayleigh’s criterion to a picture through a circular aperture
The images of two sources can just be resolved through a circular aperture if they have an angular separation of:

What is the significance of resolution in radio telescopes?
What is the significante of resolution in electron microscopes?
What is the significance of resolution in digital cameras?