What is electric potential difference?
The electric potential energy transferred as a unit charge moves between two points
Unit: V or JC–1

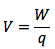
What is the change in potential energy when a charge moves between two points at different potentials?
W = Vq
or for an electron:

What is the electronvolt?
The kinetic energy that would be gained by an electron if it was accelerated by a potential difference of one volt
Unit: eV
What is the relationship between the energy transferred in joules and the energy transferred in electronvolts?
energy transferred (J) = energy transferred (eV) X 1.6 X 10–19
What is electric current?
Force per unit length between parallel current-carrying conductors
Unit: A or Cs–1

What is resistance?
The ratio of the potential difference across a conductor to the current through it
Unit: Ω

What is a resistor?
A component that has been made to have a certain resistance
Why does resistance exist?
Because in a material, any electrons through it have to pass atom or ions vibrating in their path
What is the relationship between the resistance of a metal wire and its length and cross-sectional area?

What is resistivity?
A specific resistivity value given for different materials
Symbol: ρ
Unit: Ωm (ohm metre)
How is resistance calculated with the help of resistivity, length and cross-sectional area?

What usually affects resistance and resistivity?
Temperature
What is Ohm’s law?
The current through a metallic conductor is proportioonal to the potential difference across it, if the temperature is constant
I ∝V
What is the difference between an ohmic and non-ohmic resistor?
If the current through an electrical component is proportional to the p.d. across it, it is described as being ohmic because it obeys Ohm’s law
All other components are non-ohmic
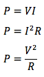
What are the expression for power dissipation in resistors?

What is electromotive force (emf)?
The total energy transferred in the source per unit charge passing through it (not really a force)
Symbol: ε
Unit: V
ε = IR + Ir = I(R + r)
r = internal resistance
What is internal resistance (r)?
Cells and batteries and other sources of electrical energy are not perfect conductors of energy and have small internal resistance of their own
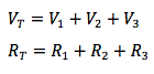
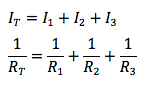
What is the voltage and resistance in resistor in series?

What is the current and resistance in resistors in parallel?

When are resistors in series?
When they are connected one after another, so that the same current flows through them all
When are resistors parallel?
When they are positioned side by side and the current divides equally to all of them
What is an ideal ammeter?
One that has an infinitely low resistance so that it does not reduce the current that it is trying to measure
What is an ideal voltmeter?
One that has an infinitely high resistance so that current does not flow through it.
What is a potential divider?