Are the vertical and the horizontal components of velocity for a projectile in a uniform field independent?
Yes
Describe the trajectory of projectile motion in the absence of air resistance
It’s parabolic.
Sketch the trajectory of projectile motion in the absence of air resistance

Describe the effect of air resistance on the trajectory of a projectile
Define the instantaneous velocity of a projectile

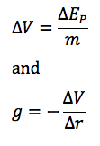
Define gravitational potential at a point
The work done per unit mass in bringing a small test mass from infinity to that position

Define gravitational potential energy of a system
The work done when bringing all the masses of the system to their present positions, assuming that they were originally at infinity.
Gravitational potential energy stored between to masses m1 and m2, separated by a distance r:

When is gravitational potential energy equal to zero?
When an object is at infinity.
Define gravitational potential due to a point mass

Define the gravitational potential difference between two points as the work done when moving a unit mass between those points

How do you get the potential due to one or more point masses?
By adding up the potentials
Is gravitational potential a vector or a scalar quantity?
Scalar.
Sketch and describe the pattern of equipotential surfaces due to one point mass

Sketch and describe the pattern of equipotential surfaces due to two point masses

What is the relationship between equipotential surfaces and gravitational field lines?
Field lines are always perpendicular to equipotential lines, pointing from a higher potential to lower potential.

Define escape speed, vesc
A theoretical speed that a projectile of mass m2 needs to escape from a planet’s (m1) force of attraction

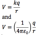
Define electric potential (at a point)
The work done per unit charge in bringing a small positive test charge from infinity to that position:

Define electric potential energy
The work done when bringing all the charges of the system to their present positions, assuming that they were originally at infinity.

Define the electric potential due to a point charge

How is the overall electric potential at a point determined?
By adding up individual potentials.
What is the relationship between equipotential surfaces and electric field lines?
Field lines are always perpendicular to equipotential lines and point from higher to lower potential
Sketch the pattern of equipotential surfaces due to one point charge

Sketch the pattern of equipotential surfaces due to two equal point charges

Sketch the pattern of equipotential surfaces due to two opposite point charges
