Beta-Blocker wirken negativ Inotrop
-> Was ist Inotrop?
Inotrop = Kontraktionskraft
Beta-Blocker wirken negativ chronotrop
-> Was ist chronotrop?
Chronotrop = Herzfrequenz
Beta-Blocker wirken negativ dromotrop
-> Was ist dromotrop?
Dromotrop = Geschwindigkeit der Erregungsleitung
Beta-Blocker wirken negativ bathmotrop
-> Was ist bathmotrop?
Bathmotrop = Höhe der Reizschwelle
Beta-Blocker wirken negativ lusitrop
-> Was ist lusitrop?
Lusitrop = Geschwindigkeit der Relaxation
Wie schnell wirken Beta-Blocker?
2-3 Monate bis Wirkung eintritt
(Beachte langsame Erhöhung der Dosis)
Welche Nebenwirkungen sind bei Beta-Blockern wichtig?
Verschleiern Hypoglykämien bei Diabetikern
Sexuelle Funktionsstörungen (Männer)
(Müdigkeit)
(Muskelschwäche)
(Depression)
Bei welcher Krankheit darf man keine Beta-Blocker einsetzen?
Nicht bei Asthma Patienten!
Sind nicht 100% Beta-1 selektiv -> Blockieren also auch Beta-2 -> Spasmus in der Lunge
Wie wirken Beta Blocker auf Spermien?
Beta Blocker wirken Membran stabilisierend und hemmen damit die Spermienmotilität
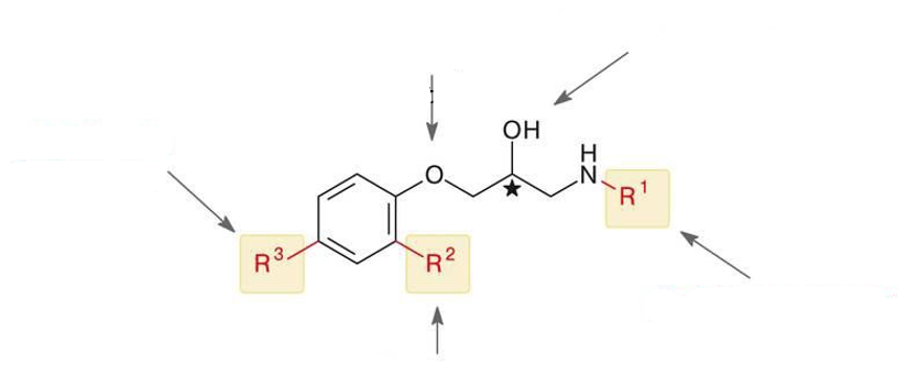
Wie sehen die einzelnen Bereiche des Beta Blockers aus?
(Welche Aufgabe haben sie?)


Welche zwei häufigen para Substituenten befinden sich meist an Beta Blockern?
Ether oder Amid

Was ist das Besondere an diesen Stoffen, ihre Wirkung betreffend?

Sind β 1-selektive Blocker
Was ist das Besondere an diesen Stoffen, ihre Wirkung betreffend?

Nicht-selektive β -Blocker
Welche Nebenprodukte können bei der Synthese von Beta Blockern entstehen?
Dimere z.B.:

Bei der Synthese von Beta Blockern entstehen beide Racemate, die dann Konglomerate bilden.
Wie kann man diese Racemate voneinander trennen?
Trennung über Schmelzen und Kristallisieren -> In diesem Fall findet man nur ein Enantiomer im jeweiligen Kristall (Ist eine Besonderheit)
Was sind die häufigsten Metabolisierungen von Propranolol?

N-Desalkylierung
Oxidationen am aromatischen Ring
Glucoronidierung und Sulfatierung
