Wie heißt diese Stoffklasse?

Phosphinoxid
Wie heißt diese Stoffklasse?

Phosphinat
Wie heißt diese Stoffklasse?

Phosphonat
Wie heißt diese Stoffklasse?

Phosphoamid
Verteter der Stoffklassen
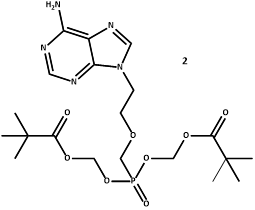
Zu welcher Stoffklasse gehört der Arzneistoff?
Indikation?

Phophonat
Verteter der Stoffklassen
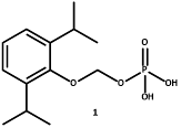
Zu welcher Stoffklasse gehört der Arzneistoff?
Indikation?

Fospropofol: Phophate
Anästhetikum
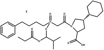
Verteter der Stoffklassen
Zu welcher Stoffklasse gehört der Arzneistoff?
Indikation?

Phosphinat
Verteter der Stoffklassen
Zu welcher Stoffklasse gehört der Arzneistoff?
Indikation?

Phospoamid
Verteter der Stoffklassen
Zu welcher Stoffklasse gehört der Arzneistoff?
Indikation?

cyclisches Phosphoamid
Verteter der Stoffklassen
Zu welcher Stoffklasse gehört der Arzneistoff?
Indikation?

Verteter der Stoffklassen
Zu welcher Stoffklasse gehört der Arzneistoff?
Indikation?