Wie vermitteln Sartane ihre Wirkung?
Sind AT1-Rezeptorblocker
Was sind im Hinblick auf Nebenwirkungen (UAW) die Vorteile von AT1-Rezeptorblockern gegenüber ACE-Hemmern?
Vorteil: Bradykinin kann weiter abgebaut werden
Wirkt zudem nicht auf AT2-Rezeptoren -> Diese können dann immernoch ihre Vasodilatations Effekte ausüben
Was sind im Hinblick auf Nebenwirkungen (Herz) die Vorteile von AT1-Rezeptorblockern gegenüber ACE-Hemmern?
Weil AT2 weiterhin seine Wirkung vermitteln kann wirkt es antihypertroph
-> Also kein Vergrößern des Herzens
Was kann man über das mögliche nutzlos werden von AT1-Rezeptorblockern im Vergleich zu ACE-Hemmern sagen?
Sie bewirken eine stärkere maximale Hemmung als bei ACE-Hemmern
-> Aber ein “Angiotensin Escape” kann nicht vorkommen, da sie einen REZEPTOR blockieren und kein Enzym
Was lässt sich über Renin-Hemmer sagen?
Sie haben oral nur eine sehr geringe Bioverfügbarkeit von 3%
Ihre UAWs ähneln denen von ACE-Hemmern, nur noch stärker!
-> Keine echte Alternative zu ACE-Hemmern oder AT1-Blocker
Wie vermitteln Vasopeptidase-Hemmer ihre Wirkung?
(Hemmen ACE)
Hemmen die neutralen Endopeptidasen (NEP) -> Diese spaltet ANP, BNP, CNP
-> Also längere Wirkung von natriuretischen Peptiden
Wo liegt das Problem beim Einsatz von Vasopeptidase-Hemmern?
Bewirken zwar stärkere Blutdrucksenkung als ACE-Hemmer, können aber Angioödem verursachen
-> Keine Zulassung
Zur Behandlung welcher Hypertonie werden Endothelin-Rezeptor-Antagonisten eingesetzt?
Behandlung einer pulmonalen Hypertonie
Nicht für die arterielle Hypertonie!
Wie vermitteln Endothelin-Rezeptor-Antagonistenen ihre Wirkung?
Blockieren ETA- und ETB-Rezeptoren auf Gefäßmuskelzellen
Endothelin würde normalerweise an diesen Rezeptor binden und via Gq zu Calciumeinstrom führen -> Vasokonstriktion
Wie viele Subtypen der AT Rezeptoren gibt es?
AT1 bis AT4
Was für ein Rezeptor Typ ist der AT1 Rezeptor?
-> Was bewirkt er?
Ist ein GPCR
Vasokonstriktion
Aldosteron, Noradrenalin, ADH Freisetzung
Was ist das Pharmakophor von Sartanen?
Tetrazol mit Biphenylsystem

Wie ist die Struktur von Losartan (Ältestes Sartan)

Was sind die Produkte der Aktivierung des Prodrugs Candesartan-cilexetil

Cyclohexanol
CO2
Acetaldehyd

Was sind die Produkte der Aktivierung des Prodrugs Olmesartan-medoxomil

CO2
2,3-Butandion

Mit welchen Aminosäuren müssen Sartane in der Bindetasche wechselwirken?

Wichtigste Wechselwirkung ist mit Arginin 167!

Wie synthetisiert man den Tetrazol Ring?
Huisgen-Cycloaddition
1,3-dipolare Cycloaddition

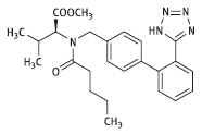
Was ist dies für ein Arzneistoff?
Woran erkennt man dies?

Valsartan
Hat ein Valin in S-Konfiguration
Welcher toxische Stoff tritt als Verunreinigung bei der Synthese der Sartane auf?
Nitrosamine
Wodurch sind die Nitrosamine Verunreinigungen bei der Synthese der Sartane entstanden?

Wie vermitteln Nitrosamine ihre kanzerogene Wirkung?
