Wie viele ubiquitäre Adenosin Rezeptoren gibt es?
Wie erfolgt die Signalvermittlung?
Es gibt vier ubiquitäre Subtypen
Wirkt über GPCR (Gs) -> Kommt zu cAMP Anstieg
Was ist das Problem eines Wirkstoffes bei Adenosin Rezeptoren?
Adenosin ähnelt in Grundstruktur Xanthin
Was sind die zwei Ansätze die man verfolgen kann um die Toxizität von Heterozyklen zu vermindern?
Blockade von reaktiven Stellen durch Einführen von Stickstoffatomen
Ersatz des Fünfrings (Im Purin) durch einen Sechsring
Zeige an dieser Verbindung den Nitrogen Walk
Nutzen?

Einführung eines Stickstoffatoms an verschiedenen Positionen des Rings (Nitrogen-Walk)
-> Suche neue Liganden

Über den Nitrogen Walk wurde die gezeigte Verbindung gefunden.
Wo liegt das Problem dieser Verbindung?

Structural Alert
Wie können CYP Enzyme für die Analyse hergestellt werden?
Mittels Insektenzell-Mikrosomen
Höher IC50 heißt hohe oder niedrige Inhibition?
Hoher IC50 heißt niedrige Inhibition
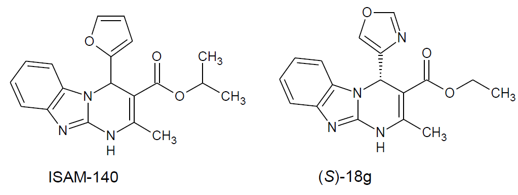
Was war die Motivation von der bekannten Verbindung ISAM zu 18g zu kommen?
Welche Methode wurde hierfür verwendet?

Furan war sehr elektronenreich
Verbindung g18 über Nitrogen Walk gefunden
Zeige den Biotoxifizierungsmechanismus der an der Thiazolstruktur abläuft.

Probleme sind Epoxid, Diol sowie Sulfonylharnstoff
Die Reaktion von einem Epoxid zu einem Diol nennt man Hydrolyse (Wasser eingeführt).
Dann bildet sich ein Glyoxal und ein Sulfonylharnstoff.
Glyoxal ist zweifach Aldehyd! Sehr reaktiv!

Wie kann man die Biotoxifizierungsreaktionen die durch Thiazol auftreten verhindern?
Gezeigt am Beispiel von Sudoxicam

Methyl Gruppe eingeführt die dann bevorzugt zur Carbonsäure oxidiert wird.
Carbonsäure ist kein Problem.
Methylgruppe wird gegenüber Thiazol Ring bevorzugt oxidiert.

Entstehung eines Nitreniumions aus einem Amin


Zu was wird Procainamid im Körper (unter anderem) umgesetzt?

Bei Procainamid kommt es nach der Aktivierung zur Bildung einer toxischen Nitrosoverbindung.

Primäre Amine an Aromaten sind gefährlich (Bsp. Procainamid). Wie kann man dieses Problem beheben?


Nefazodon
Welcher Teil des Moleküls ist für die toxische Wirkung verantwortlich?
Wie wird diese toxische Verbindung im Körper gebildet?

Piperidin (Piperazin) Aromat ist für toxische Wirkung verantwortlich
-> Hepatotoxisch, durch das Chinonimin

Wie ist die Reihenfolge der Reaktivität der Heterozyklen gegenüber Elektrophilen?
-> Ordne nach abnehmender Reaktivität: Furan, Thiophen, Pyrrol
Warum ist das so?
Heteroatom liefert Elektronenschub
Sauerstoff hat höhere Elektronegativität als Stickstoff -> Kation wird weniger stabilisiert -> Pyrrol reaktiver als Furan
p-Orbitale des Schwefels haben eine schlechtere Überlappung mit p-Orbitalen des Kohlenstoffs -> Weniger Elektronenschub als bei Sauerstoff -> Furan reaktiver als Thiophen
Sind Pyridin und Pyrimidin elektronenreiche oder elektronenarme Heteroaromaten?
Elektronenarme Heteroaromaten
Wie kann man die Reaktion eines Elektrophils mit einem Nukleophil mittels HOMO und LUMO erklären?
Warum nimmt die Reaktivität ab wenn anstatt Kohlenstoff ein Stickstoff in den Ring der als Nukleophil dienen soll eingeführt wird?
HOMO des Nukleophils (Hier sind die Elektronen für die Bindung drin) muss mit LUMO des Elektrophils wechselwirken.
Warum korreliert oftmals erhöhte Elektronendichte mit einem Structural Alert?
Moleküle mit einer erhöhten Elektronendichte können leicht von CYP-Enzymen oxidiert und dadurch toxische Produkte wie z.B. Epoxide bilden.
Welche anderen Parameter werden auch beeinflusst, wenn im Rahmen von SAR Strukturvariationen in Moleküle eingebaut werden – abgesehen von der Problematik des Strucutral Alerts?
-> Nur ein paar Beispiele nennen
Basizität, Lipophilie, polare Oberflächenstruktur, H-Brückeeneigenschaften, Rezeptorerkennung, Bindungsaffinität, Löslichkeit, Aktiver Transport, metabolische Stabilität, log P, PSA und Dipolmoment.
Was versteht man ganz allgemein unter Bioisosterie?
Austausch Substituenten oder Molekülgruppen gegen sterisch und elektronisch
verwandte Gruppen zur Optimierung der pharmakokinetischen und pharmakodynamischen
Eigenschaften eines Arzneistoffes unter Erhaltung der biologischen Aktivität.
Zu welcher Gruppe ist der Stickstoff bioisoster? Welche allgemeine Regel der Bioisosterie liegt hier zu Grunde?
Das eingeführte N-Atom ist bioisoster zur CH-Gruppe im pentagonalen Heterozyklus.

Welche Gruppe ist in diesem Molekül die bioisostere Gruppe und was wurde ausgetauscht?
Was sind ein paar positive Folgen hiervon?

Carboxylgruppe durch einen bioisosteren Tetrazolring ausgetauscht
Höhere Potenz, geringere Polarität, erhöhte Lipophilie (bessere
Membranpermeabilität), verbesserte Pharmakokinetische Eigenschaften, geringeres
Toxisches Potential
Welche bioisostere Gruppe kann Amid ersetzen?
Wie wirkt sich dies auf H-Donor/Akzeptor Eigenschaften und Basizität aus?
Wo findet man diesen Austausch oft?

Ersatz der Amidgruppe durch Trifluoramingruppe.
Erhält die H-Donoreigenschaften des Amids (stark elektronenziehende Wirkung der CF3-Gruppe verringert die Basiszität des Stickstoffs extrem, ohne die H-Donoreigenschaften zu beeinflussen
Findet man oft in Peptidmimetika

Was ist Circulardichroismus (CD)?
Wie funktioniert es und was wird “berechnet”?