Main Uses
(MD Methods: 2 points)
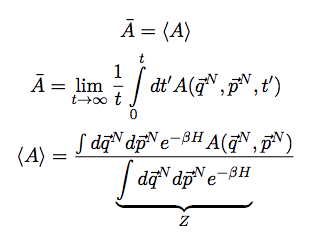
Ergodicity Hypothesis
For significant number of particles, the time average is the same as the ensemble average

Ergodicity, MD, MC

Overview
(MD Methods)

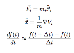
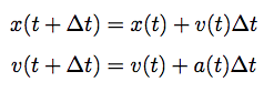
Euler Method
(Algorithm)
Derive by Taylor expanding x(t + ∆t )

Euler Methods
(Failures)
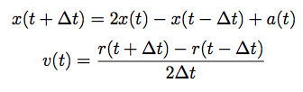
Verlet Integrator
(Algorithm)

Verlet Integrator
(Failure)
Not self-starting
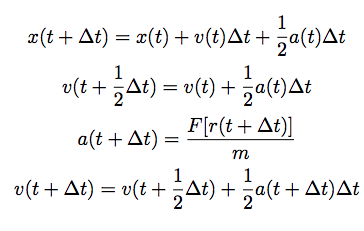
Velocity-Verlet Integrator
(Algorithm)

Velocity-Verlet Integrator
(Benefits)
Verlet Integrator
(Benefits)