Chapter 3: Integrators Revisited Flashcards

(2 cards)

1
Q

Lyapunov Instability

(Overview)

A
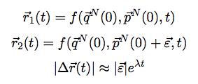
  • Consider two initial configurations r1(t ), r2(t )
  • Lyapunov exponent λ comes from eigenvalue solutions for magnitude of difference of configurations
How well did you know this?
1
Not at all
2
3
4
5
Perfectly
2
Q

Lyapunov Instability

(Take-Away)

A
  • Molecular chaos very quickly “erases memory” of the previous microstate
  • Fast temporal decorrelation
    • easy generation of uncorrelated microstates
    • good for thermodynamic smapling
How well did you know this?
1
Not at all
2
3
4
5
Perfectly