Radial Distribution Function
Describes probability of finding a pair of particles separated by a distance r relative to probabilty for a completely random distribution with same density
Diffusion Constant
(Einstein Method)

Diffusion Constant
(Einstein Method: Protocol)

Diffusion Constant
(Graph)

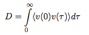
Green-Kubo Relations
relates transport properties to auto integrals over autocorrelation functions
