MC Method
(Brief Outline)
Simple Sampling
Simple Sampling
(Disadvantages)
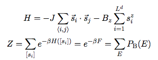
Ising Model

Ising Model
(Limitation)

Importance Sampling
Choose states according to Boltxmann weight using a Markhov vhain
Markhov Chains
Markhov Chains
(Properties)

Metropolis Algorithm
local-update scheme with one spin flip per move
