Chapter 8: Statistical Errors and Autocorrelation Times Flashcards

(5 cards)

1
Q

Fluctuation Approximation

A
How well did you know this?
1
Not at all
2
3
4
5
Perfectly
2
Q

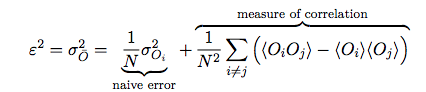
Error of Estimator

A
How well did you know this?
1
Not at all
2
3
4
5
Perfectly
3
Q

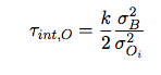
Autocorrelation Times

A
  • due to correlation, ε2 enhanced by factor of (2τint,O)
  • uncorrelated measurements occur every 2τint,O units of time
How well did you know this?
1
Not at all
2
3
4
5
Perfectly
4
Q

Binning Analysis

A

divide time-series into NB blocks each containing k measurements

  • time-average same as average of each block
How well did you know this?
1
Not at all
2
3
4
5
Perfectly
5
Q

Binning Analysis

(Autocorrelation Time Estimate)

A

if k >> τ

How well did you know this?
1
Not at all
2
3
4
5
Perfectly