Hamiltonian Dynamics

Phase Space vs State Space

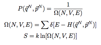
Basic Assumption of Statistical Mechancis
All microstates are equally probable!
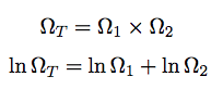
Degeneracy of (N, V, E) State Ω
Number of microstates with energy E, number of particles N, and volume V

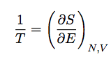
Entropy Definition (microcanonical)

Thermodynamic Definition of Temperature

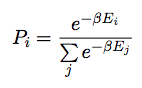
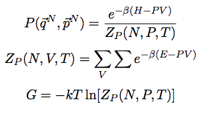
Boltzman Distribution

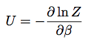
Internal Energy and Partition Function

Workhorse of Equilibrium Statistical Mechanics

Microcanonical Ensemble
(N, V, E)

Canonical Ensemble
(N, V, T)

Isobaric, Isothermal Ensemble
