Chapter 23 P4 Flashcards

(13 cards)

1
Q

23.5 Measuring the distribution and abundance of organisms

A

Scientists use a number of techniques to study the distribution and abundance of organisms within an ecosystem. This is a way of measuring and observing the biodiversity present within an ecosystem.
These techniques can also be used to study how the organisms present change during succession. Many of these techniques you met in Chapter 11, Biodiversity.

How well did you know this?
1
Not at all
2
3
4
5
Perfectly
2
Q

Distribution of organisms

A
  • The distribution of organisms refers to where individual organisms are found within an ecosystem.
  • The distribution of organisms is usually uneven throughout an ecosystem.
  • Organisms are generally found where abiotic and biotic factors favour them, therefore their survival rate is high as all the resources they need to live are available and predation/pressure from consumers is low.
How well did you know this?
1
Not at all
2
3
4
5
Perfectly
3
Q

Measuring distribution

A
  • To measure the distribution of organisms within an ecosystem, a line or belt transect is normally used.
  • A line transect involves laying a line or surveyor’s tape along the ground and taking samples at regular intervals.
  • A belt transect provides more information - two parallel lines are marked, and samples are taken of the area between these specified points.
  • Belt and line transects are forms of systematic sampling, a type of non-random sampling.
  • In systematic sampling different areas within an overall habitat are identified, which are then sampled separately.
  • This can have advantages over random sampling as it allows scientists to study how the differing abiotic factors in different areas of the habitat affect the distribution of a species.
  • For example, systematic sampling may be used to study how plant species change as you move inland from the sea.
  • This would therefore be used to study the successional changes that take place along a series of sand dunes.
How well did you know this?
1
Not at all
2
3
4
5
Perfectly
4
Q

Abundance of organisms

A

The abundance of organisms refers to the number of individuals of a species present in an area at any given time. This number may fluctuate daily:
• Immigration and births will increase the numbers of individuals.
• Emigration and deaths will decrease the number of individuals.

How well did you know this?
1
Not at all
2
3
4
5
Perfectly
5
Q

Measuring abundance

A
  • A population is a group of similar organisms living in a given area at a given time.
  • Populations can rarely be counted accurately - for example, some animals elude capture, it may be too time-consuming to count all members of a population, or the counting process could damage the environment.
  • Populations are therefore estimated using sampling techniques.
  • A sample, however, is never entirely representative of the organisms present in a habitat.
  • To increase its accuracy you should use as large a sample size as possible.
  • The greater the number of individuals studied, the lower the probability that chance will influence the result.
  • You should also use random sampling to reduce the effects of sampling bias.
How well did you know this?
1
Not at all
2
3
4
5
Perfectly
6
Q

Measuring plant abundance

A

To measure the abundance of plants, quadrats are placed randomly in an area. The abundance of the organisms in that area is measured by counting the number of individual plants contained within the quadrat. Using the following formula, the abundance can be estimated:

How well did you know this?
1
Not at all
2
3
4
5
Perfectly
7
Q
A
How well did you know this?
1
Not at all
2
3
4
5
Perfectly
8
Q

Measuring animal abundance

A

Quadrats cannot be used to measure the abundance of animals (unless they are very slow moving, such as barnacles and mussels on a sea shore) so the capture-mark-release-recapture technique is often used to estimate population size.
The technique can be carried out as follows:

How well did you know this?
1
Not at all
2
3
4
5
Perfectly
9
Q

The technique can be carried out as follows:

A
  1. Capture as many individuals as possible in a sample area.
  2. Mark or tag each individual.
  3. Release the marked animals back into the sample area and allow time for them to redistribute themselves throughout the habitat.
  4. Recapture as many individuals as possible in the original sample area.
  5. Record the number of marked and unmarked individuals present in the sample. (Release all individuals back into their habitat.)
  6. Use the Lincoln index to estimate the population size:
How well did you know this?
1
Not at all
2
3
4
5
Perfectly
10
Q

the Lincoln index to estimate the population size:

A
How well did you know this?
1
Not at all
2
3
4
5
Perfectly
11
Q
A
How well did you know this?
1
Not at all
2
3
4
5
Perfectly
12
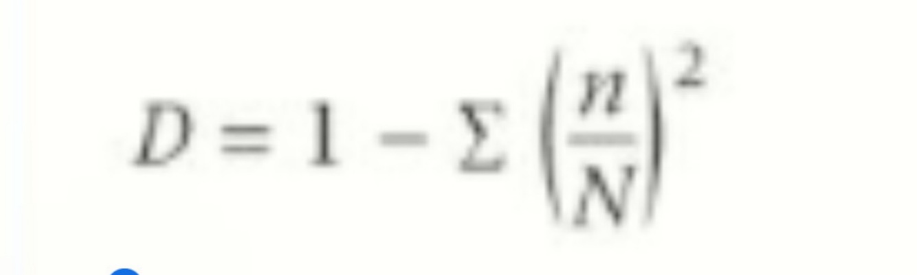
Q

Once the abundance of all the organisms present in a habitat has been determined, scientists will often mathematically calculate the biodiversity present in a habitat. This can be done using

A

Simpson’s Index of Diversity (D):
D = diversity index
N = total number of organisms in the ecosystem
n = number of individuals of each species

Simpson’s Index of Diversity always results in a value between 0 and 1, where 0 represents no diversity and a value of 1 represents infinite diversity. The higher the value of Simpson’s Index of Diversity, the more diverse the habitat.

How well did you know this?
1
Not at all
2
3
4
5
Perfectly
13
Q

Monitoring biodiversity in the Sonoran desert

A
  • The Sonoran desert is a region of desert in the south-western part of the United States, including parts of Arizona and California.
  • The environment is harsh - summer temperatures regularly exceed 40 °C. Rainfall is rare, often taking the form of intense, violent storms.
  • A student carried out a study to test the following hypothesis - the greater the abundance of plant species in the Sonoran desert, the greater the abundance of animals.
    A selection of the data collected is shown in Table 1.
How well did you know this?
1
Not at all
2
3
4
5
Perfectly