MATHS FORMULAE Flashcards

(38 cards)

1
Q

Circumference of circle

A

circumference = 2πr

How well did you know this?
1
Not at all
2
3
4
5
Perfectly
2
Q

Area of circle

A

πr 2

How well did you know this?
1
Not at all
2
3
4
5
Perfectly
3
Q

Surface area of cuboid

A

2(bh + bl + hl)

How well did you know this?
1
Not at all
2
3
4
5
Perfectly
4
Q

Volume of cuboid

A

hbl

How well did you know this?
1
Not at all
2
3
4
5
Perfectly
5
Q

Mean

A
How well did you know this?
1
Not at all
2
3
4
5
Perfectly
6
Q

percentage change =

A
How well did you know this?
1
Not at all
2
3
4
5
Perfectly
7
Q

% yield =

A
How well did you know this?
1
Not at all
2
3
4
5
Perfectly
8
Q

% error (uncertainty)

A
How well did you know this?
1
Not at all
2
3
4
5
Perfectly
9
Q

magnification

A
How well did you know this?
1
Not at all
2
3
4
5
Perfectly
10
Q

Rf

A
How well did you know this?
1
Not at all
2
3
4
5
Perfectly
11
Q

rate =

A
How well did you know this?
1
Not at all
2
3
4
5
Perfectly
12
Q

(Surface Area to Volume ratio )
ratio =

A
How well did you know this?
1
Not at all
2
3
4
5
Perfectly
13
Q

proportion of polymorphic gene loci

A
How well did you know this?
1
Not at all
2
3
4
5
Perfectly
14
Q

cardiac output =

A

heart rate × stroke volume

How well did you know this?
1
Not at all
2
3
4
5
Perfectly
15
Q

Respiratory quotient RQ

A
How well did you know this?
1
Not at all
2
3
4
5
Perfectly
16
Q

Microorganism population growth
N =

17
Q

Efficiency of biomass transfers
efficiency=

18
Q

Temperature coefficient (Q10)

19
Q

Student’s t-test – Unpaired

20
Q

Student’s t-test – Paired

21
Q

Chi squared

22
Q

Spearman’s Rank Correlation Coefficient

23
Q

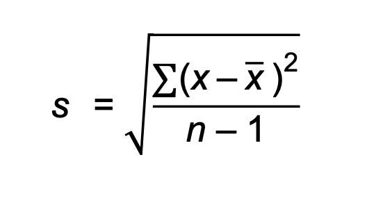
Standard Deviation

24
Q

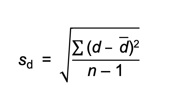
Sd = Standard deviation (difference).

25
The Hardy-Weinberg Equations
26
Simpson’s Index
27
multiplicative rule
28
division rule
29
power rule
30
reciprocal rule
31
root rule
32
In mathematical terms, this graph can be expressed as: y=
mx +c m is the gradient of the graph, and c is the value of the intercept on the y-axis.
33
A graph showing a horizontal line parallel to the x-axis shows that the variable plotted on the y-axis is independent of the variable plotted on the x-axis. In mathematical terms, this relationship can be expressed as
34
A non-horizontal straight line shows that the variable plotted on the y-axis is proportional to the variable plotted on the x-axis, or
y∝x In mathematical terms, this graph can be expressed as: y=mx +c
35
A curved graph that passes through the origin indicates that the variable plotted on the y-axis is proportional to a power of the variable plotted on the x-axis that is greater than 1, or
y∝x^n wheren>1
36
Logarithms are basically powers. If we take the following calculation: 10^2 = 100
this can be expressed as the power of 10 that gives 100 is 2 or in formal notation log10 100 = 2 and we usually drop the 10 as it is assumed to be base 10 unless stated otherwise: log 100 = 2
37
Water Potential
38
Simpson’s Index of Diversity states: