Complexes Flashcards

(4 cards)

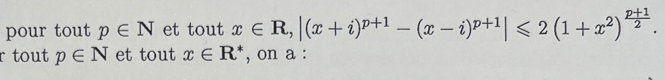
1
Q

Exercice

Surtout commenter

A
How well did you know this?
1
Not at all
2
3
4
5
Perfectly
2
Q

Exercice

A

**il faut remarquer tout de suite (z - z*)/2i = Im(z) !! **

How well did you know this?
1
Not at all
2
3
4
5
Perfectly
3
Q

Cours

C’est quoi les seuls moyen d’avoir l’expression de sin²(t) en fonction de sin(t) ?

A

• on derive : sin²(t)’ = 2sin(t)cos(t) = sin(2t)
• égalité trigo : sin²(t) = 1-cos(2t) /2
et cos(t) = sin(t + π/2)

How well did you know this?
1
Not at all
2
3
4
5
Perfectly
4
Q
A
How well did you know this?
1
Not at all
2
3
4
5
Perfectly