Matrices Flashcards

(7 cards)

1
Q

Faut pas oublier quoi quand on fait un pivot de gauss ou simplement un algorithme de Gauss ?

A

On ne peut multiplier des lignes ou des colonnes que par des scalaires non nuls ! Autrement, on fait apparaître une ligne ou une colonne nulle et cela indique que le système n’a pas de solution

How well did you know this?
1
Not at all
2
3
4
5
Perfectly
2
Q
A
How well did you know this?
1
Not at all
2
3
4
5
Perfectly
3
Q

Montre que le degré de nilpotence d’une matrice est inférieur à la dimension de l’espace

A

On aurait pu aussi basiquement le montrer en disant que A^p-1 ≠ 0 donc ∃X ≠ 0 tq (X, AX, …, A^p-1X) libre ⇒ card ≤ dim(E)

How well did you know this?
1
Not at all
2
3
4
5
Perfectly
4
Q

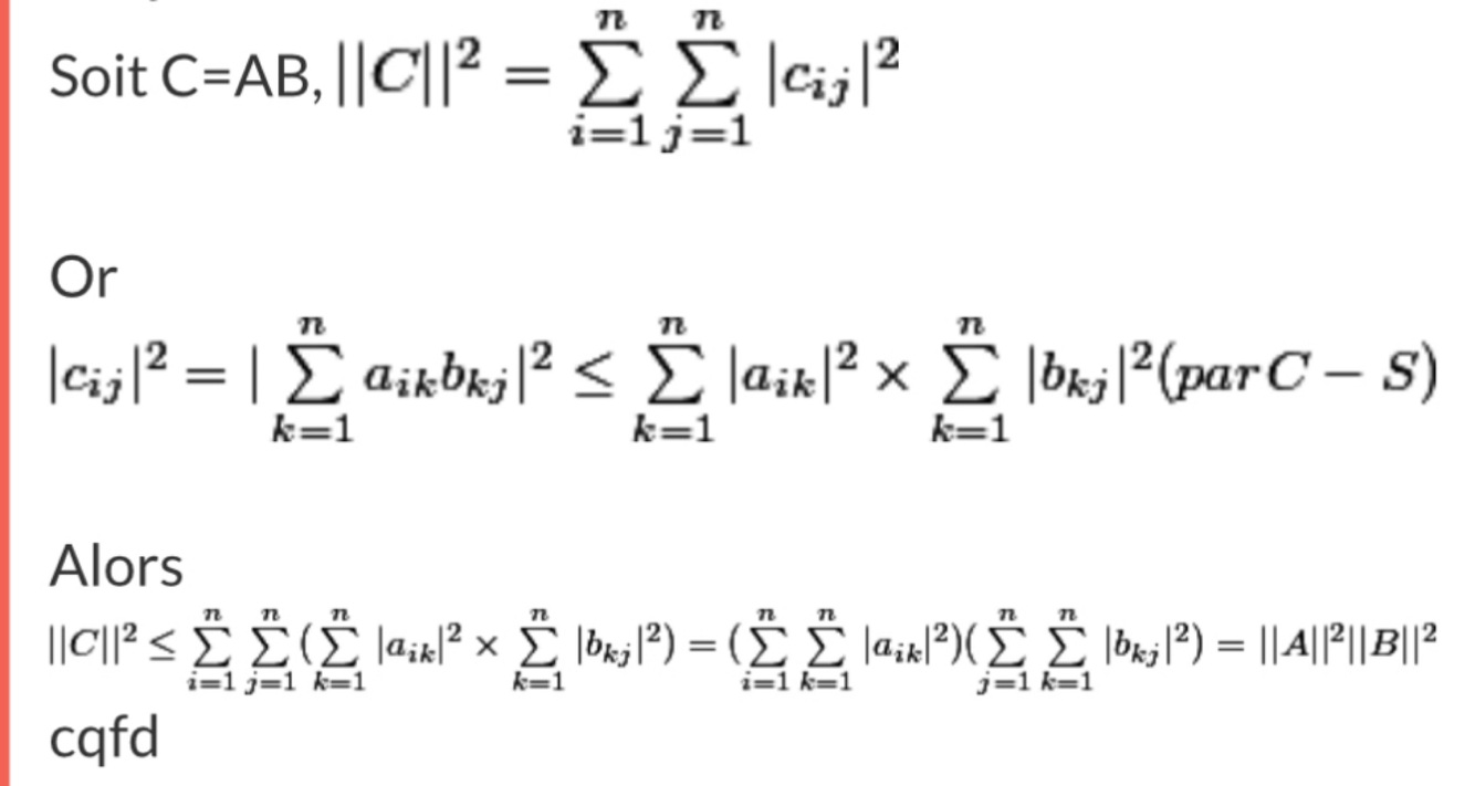
Montre que la norme de Frobenius est sous multiplicative

A
How well did you know this?
1
Not at all
2
3
4
5
Perfectly
5
Q

A quelle condition det(AB) = det(A)det(B) ?

A

Si A et B sont carrés et de même taille

How well did you know this?
1
Not at all
2
3
4
5
Perfectly
6
Q

On a une matrice quelquonque, quelle est le nombre maximums de paires sur la diagonale ?

A

2 parmi n

En fait le raisonnement, c’est qu’on se dit que c’est : 1. le nombres de paires (littéralement 2 parmi n) 2. Qui soient égales (ici il aura fallu multiplier par la proba qu’ils soient égaux mais on fixé qu’ils seraient égaux donc p = 1)

How well did you know this?
1
Not at all
2
3
4
5
Perfectly
7
Q

Cours

C’est quoi une matrice dont les colonnes sont échelonnées ?

A

En gros ça décale vers le bas : justification de la liberté

How well did you know this?
1
Not at all
2
3
4
5
Perfectly