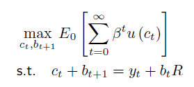
Consumer’s problem

Euler equation
All iinformation available at time t to predict c_t+1 is contained in c_t

Random walk result assumptions
beta*R=1

Implications random walk result
Certainty equivalence property
Excess sensitivity puzzle
Excess smoothness puzzle
Precautionary savings def
Precautionary savings model setup
Prudence property
u_ccc(c)>0, i. e. marginal utility is a convex funtion.
Prudence property implications

Hansen Singleton
Reject the model under the lognormality assumption
Equity premium puzzle