Quantity theory of money
m+v=p+y
Phillips curve
In high-frequency data there ir
Sidrauski model

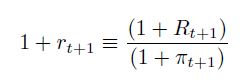
Real interest rate definition

Firm problem

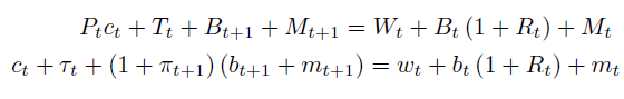
The Government

Equilibrium

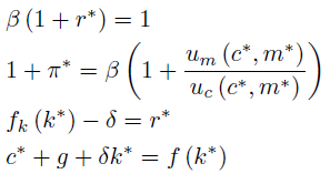
Steady state
This implies:

Neutrality and super neutrality
Equilibrium conditions

Super neutrality outside the steady state

Friedman rule
Inflation rate should be equal to the real interest rate

Criticism to the friedman rule
