Consumption-retirement puzzle
Possible explanations for the humped-shaped profile

Becker model

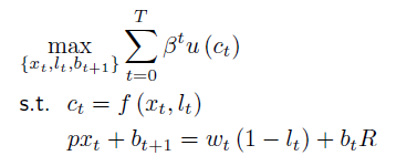
Household problem

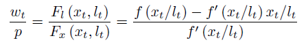
Implications FOC

Elasticity of substitution between expenditure and time def

Life cycle profile of consumption expenditure
It depends on the relationship of the elasticity of intertemporal substitution and elasticity of substitution between time and consumption services

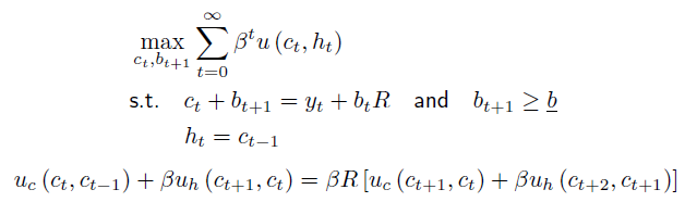
Habit formation problem
Habit formation break the link between IES and RA
