Kuznets-Madison facts

Set up of the multisector Ramsey model

Household preferences
Firms production function

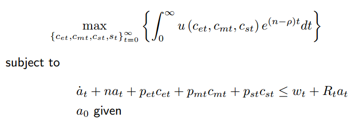
Household problem

Elasticity of subsitution between goods

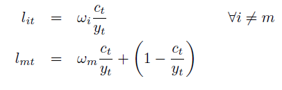
Euler equation and expenditure shares

Assumptions on the production side
Firm problem

Equilibrium definition
Walras law implies clearing for manufacturing market

Nominal output share definition

Structural change

Law of motion of capital

Dynamic system
=> allocations between sectors are irrelevant for aggregate variables

General conclusions of the model