Facts about firm heterogeneity
There is heterogeneity in:
Lucas model setup
Households
Firms
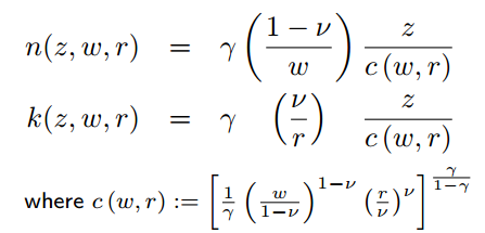
FOC of the firms implications

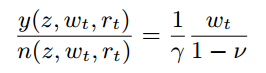
Factor demands and output

Household problem

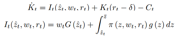
HH budget constraint
I is non-financial income
The second term corresponds to financial income

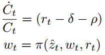
Solution to HH problem
Remember we need:
We obtain the same type of Euler equation

Equilibrium def

Measure of average firm size
G is the CDF of the managerial ability

Equilibrium productivities

Stationarity
In equilibrium:
are time independent

Aggregation
Equilibrium can be characterized by an aggregate representive firm

Steady state

Leibniz’s rule

Conclusions of the model when allowing technology and population growth