Model skeleton
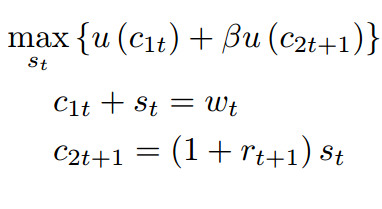
Household problem

Savings and labor income
If individuals don’t work in second period
Labor income only generates income effect => increases consumption in both periods.
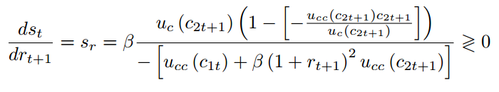
Savings and interest rate

Firm problem
Usual structure, there are no capital gains

Equilibrium

Law of motion of capital per capita

Properties of the steady state

Properties of the steady steady state (non-oscilatory trajectories)
Then income effect shouldn’t be too strong

Overlapping generations and pareto optima
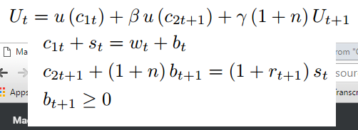
Problem under altruism
Individuals care about themselves and the utility of their children

Altruism and dynamic efficiency
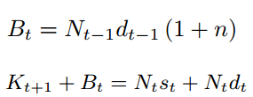
Fully funded system
PSYG system
d1t=d1,t+1

Savings and PAYG

Transition from a PAYG to a fully funded
