Coordinate Geometry Flashcards

(12 cards)

1
Q

The Coordinate Plane

A
How well did you know this?
1
Not at all
2
3
4
5
Perfectly
2
Q

Slope of Line

A
How well did you know this?
1
Not at all
2
3
4
5
Perfectly
3
Q

The Slope-Intercept Equation

A

y = mx + b

where:
- y = the y-coordinate
- x = the corresponding x-coordinate
- m = the slope of the line
- b = the y-intercept of the line

How well did you know this?
1
Not at all
2
3
4
5
Perfectly
4
Q

Positive Slope

A
How well did you know this?
1
Not at all
2
3
4
5
Perfectly
5
Q

Negative Slope

A
How well did you know this?
1
Not at all
2
3
4
5
Perfectly
6
Q

Zero Slope

A
How well did you know this?
1
Not at all
2
3
4
5
Perfectly
7
Q

Undefined Slope

A
How well did you know this?
1
Not at all
2
3
4
5
Perfectly
8
Q

Parallel Lines

A

Parallel lines have the same slope but different y-intercept, and as a result, the lines will never intersect

How well did you know this?
1
Not at all
2
3
4
5
Perfectly
9
Q

Perpendicular Lines

A

The slopes of two perpendicular lines are negative reciprocals; negative reciprocals multiply to -1.

How well did you know this?
1
Not at all
2
3
4
5
Perfectly
10
Q

Reflections

A

Reflection over the x-axis
(x,y) -> (x,-y)
Reflection over the y-axis
(x,y) -> (-x,y)
Reflection over the origin
(x,y) -> (-x,-y)

How well did you know this?
1
Not at all
2
3
4
5
Perfectly
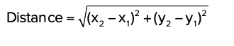
11
Q

The Distance Formula

A
How well did you know this?
1
Not at all
2
3
4
5
Perfectly
12
Q

Midpoint Formula

A
How well did you know this?
1
Not at all
2
3
4
5
Perfectly