Percent Word Problems Flashcards

(8 cards)

1
Q

Converting to a Percent

A

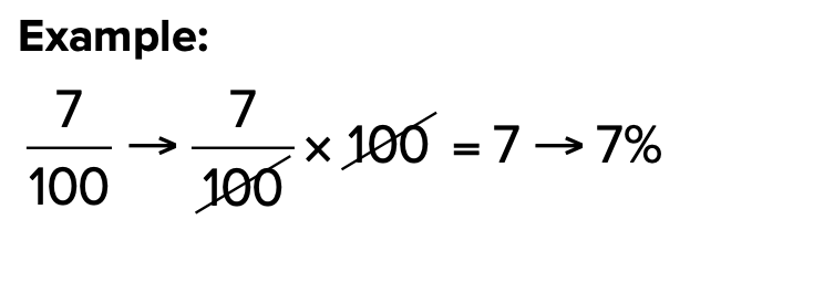
To convert a fraction, decimal, or an integer to a percent, multiply the decimal or integer by 100 and attach the percent sign

How well did you know this?
1
Not at all
2
3
4
5
Perfectly
2
Q

Converting from a Percent

A

To convert a percent to a decimal, drop the percent sign and divide by 100

How well did you know this?
1
Not at all
2
3
4
5
Perfectly
3
Q

“Percent of” Translations

A

“Percent of” means to multiply a given percent by a given value

How well did you know this?
1
Not at all
2
3
4
5
Perfectly
4
Q

“What Percent” Translation

A
How well did you know this?
1
Not at all
2
3
4
5
Perfectly
5
Q

“Percent Less Than” Translations

A
How well did you know this?
1
Not at all
2
3
4
5
Perfectly
6
Q

“Percent Greater Than” Translations

A
How well did you know this?
1
Not at all
2
3
4
5
Perfectly
7
Q

Variable Percent Translations

A
How well did you know this?
1
Not at all
2
3
4
5
Perfectly
8
Q

“Percent Change” Formula

A
How well did you know this?
1
Not at all
2
3
4
5
Perfectly