Geometry Flashcards

(39 cards)

1
Q

Acute Angle

A
How well did you know this?
1
Not at all
2
3
4
5
Perfectly
2
Q

Right Angle

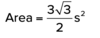
A
How well did you know this?
1
Not at all
2
3
4
5
Perfectly
3
Q

Straight Angle

A
How well did you know this?
1
Not at all
2
3
4
5
Perfectly
4
Q

Obstuse Angle

A
How well did you know this?
1
Not at all
2
3
4
5
Perfectly
5
Q

360° Angle

A
How well did you know this?
1
Not at all
2
3
4
5
Perfectly
6
Q

Supplementary Angles

A

Angles are supplementary if their measures sum to 180°

How well did you know this?
1
Not at all
2
3
4
5
Perfectly
7
Q

Exterior Angle of a Triangle

A

An exterior angle of a triangle is equal to the sum of its two remote interior angles

How well did you know this?
1
Not at all
2
3
4
5
Perfectly
8
Q

Parallel Lines Intersected by a Transversal

A
How well did you know this?
1
Not at all
2
3
4
5
Perfectly
9
Q

Area of Triangle

A
How well did you know this?
1
Not at all
2
3
4
5
Perfectly
10
Q

Triangle Inequality Theorem

A

In any triangle, the sum of the lengths of any two sides of the triangle is greater than the length of the third side

How well did you know this?
1
Not at all
2
3
4
5
Perfectly
11
Q

Pythagorean Theorem

A
How well did you know this?
1
Not at all
2
3
4
5
Perfectly
12
Q

Pythagorean Triples

A
  • 3-4-5 Right Triangle
  • 5-12-13 Right Triangle
How well did you know this?
1
Not at all
2
3
4
5
Perfectly
13
Q

Isosceles Right Triangle

A
How well did you know this?
1
Not at all
2
3
4
5
Perfectly
14
Q

The Ratio of the Sides of a 45-45-90 RIght Triangle

A
How well did you know this?
1
Not at all
2
3
4
5
Perfectly
15
Q

The Hypotenuse of a 45-45-90 Right Triangle is the Diagonal of Square

A

A square’s diagonal cuts the square into two 45-45-90 right triangles

How well did you know this?
1
Not at all
2
3
4
5
Perfectly
16
Q

The Ratio of the Sides of 30-60-90

17
Q

The Area of an Equilateral Triangle

18
Q

Cutting an Equilateral Triangle in Half

A

Dropping an altitude from the upper vertex to the base of an equilateral triangle produces two identical 30-60-90 traingles

19
Q

The Parallelogram

A
  • Opposite sides are equal
  • Opposite angles are equal
20
Q

Rectangle

21
Q

The Longest Line Segment of a Rectangle

A

The longest segment is the diagonal

22
Q

The Square

A
  • Perimeter = 4 x side
  • Area = side²
23
Q

The Maximum Area of a Rectangle

A

Given a rectangle with a fixed perimeter, the rectangle with the maximum area is a square

24
Q

The Trapezoid

25
The Minimum Perimeter of Rectangle
Given a rectangle with a fixed area, the rectangle with the minimum perimeter is a square
26
Interior Angles of a Polygon
The sum of the interior angles of a polygon = `(n - 2) x 180`, where n = the number of sides in the polygon
27
Hexagons
28
Exterior Angles of Any Polygon
They always sum to 360°
29
Circles
30
Arc Length and Sector Area
31
Right Triangle Inscribed in a Circle
31
Inscribed Angles in Circles
32
Regular Polygons Inscribed in Circles
When a regular polygon is inscribed in a circle, the polygon divides the circle into arcs of equal length
33
The Area of Circular Ring
34
The Cylinder
35
The Cube
36
The Rectangular Solid
37
The Diagonal of Cube
38
The Diagonal of a Rectangular Solid