Roots & Exponents Flashcards

(38 cards)

1
Q

Perfect Squares to Memorize

A

0, 1, 4, 9, 16, 25, 36, 49, 64, 81, 100, 121, 144, 169, 196, 225

How well did you know this?
1
Not at all
2
3
4
5
Perfectly
2
Q

Perfect Cubes to Memorize

A

0, 1, 8, 27, 64, 125, 216, 343, 512, 729, 1000

How well did you know this?
1
Not at all
2
3
4
5
Perfectly
3
Q

Non-perfect Square Roots to Memorize

A
How well did you know this?
1
Not at all
2
3
4
5
Perfectly
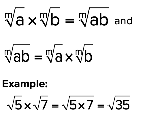
4
Q

Multiplying Radicals

A
How well did you know this?
1
Not at all
2
3
4
5
Perfectly
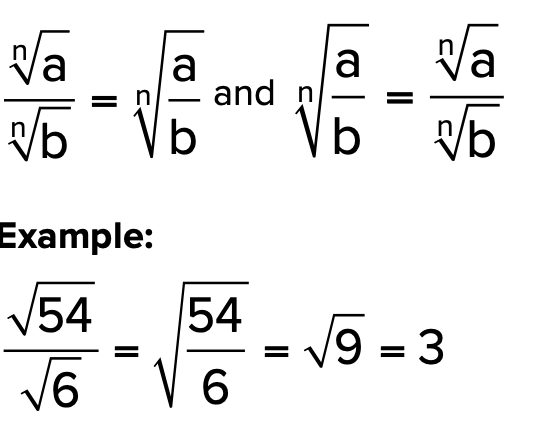
5
Q

Dividing Radicals

A
How well did you know this?
1
Not at all
2
3
4
5
Perfectly
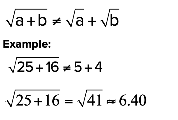
6
Q

Addition and Subtraction of Radicals

A
How well did you know this?
1
Not at all
2
3
4
5
Perfectly
7
Q

Taking the Square Root of a Number and/or Binomial

A
How well did you know this?
1
Not at all
2
3
4
5
Perfectly
8
Q

Exponents to Memorize: Bases of 2

A
How well did you know this?
1
Not at all
2
3
4
5
Perfectly
9
Q

Exponents to Memorize: Bases of 3

A
How well did you know this?
1
Not at all
2
3
4
5
Perfectly
10
Q

Exponents to Memorize: Bases of 4

A
How well did you know this?
1
Not at all
2
3
4
5
Perfectly
11
Q

Exponents to Memorize: Bases of 5

A
How well did you know this?
1
Not at all
2
3
4
5
Perfectly
12
Q

Multiplication of Like Bases

A
How well did you know this?
1
Not at all
2
3
4
5
Perfectly
13
Q

Division of Like Bases

A
How well did you know this?
1
Not at all
2
3
4
5
Perfectly
14
Q

Power to a Power Rule

A
How well did you know this?
1
Not at all
2
3
4
5
Perfectly
15
Q

Multiplication of Different Bases and Like Exponents

A
How well did you know this?
1
Not at all
2
3
4
5
Perfectly
16
Q

Division of Different Bases and Like Exponents

17
Q

Radicals Can Be Expressed in Exponential Form

18
Q

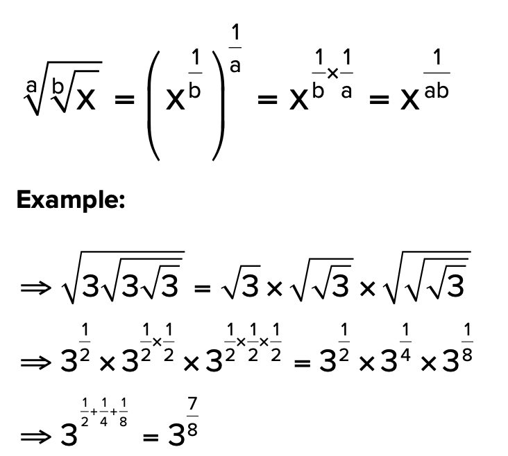
Multiple Square Roots

19
Q

Nonzero Base Raised to the Zero Power

A

When a nonzero base is raised to the zero power, the expression equals 1

20
Q

Any Base Raised to the 1st Power

A

When a base is raised to the first power, the value of the expression is simply that base

21
Q

Raising a Base to a Negative Exponent

22
Q

Addition and Subtraction of Like Bases

A

When adding or subtracting expressions with exponents, consider factoring out common factors

23
Q

Addition and Subtraction of Like Radicals

24
Q

Special Addition Rule with Exponents

25
Number Properties of Exponents: Case #1
Base: greater than 1 Exponent: even positive integer
26
Number Properties of Exponents: Case #2
Base: greater than 1 Exponent: odd positive integer greater than 1
27
Number Properties of Exponents: Case #3
Base: less than -1 Exponent: even positive integer
28
Number Properties of Exponents: Case #4
Base less than -1 Exponent: odd positive integer greater than 1
29
Number Properties of Exponents: Case #5
Base: positive proper fraction Exponent: even positive integer
30
Number Properties of Exponents: Case #6
Base: negative proper fraction Exponent: even positive integer
31
Number Properties of Exponents: Case #7
Base: positive proper fraction Exponent: odd positive integer greater than 1
32
Number Properties of Exponents: Case #9
Base greater than 1 Exponent: positive proper fraction
32
Number Properties of Exponents: Case #8
Base: negative proper fraction Exponent: odd postive integer greater than 1
33
Square Roots of Large Perfect Squares
When a perfect square ends with an even number of zeros, the quare root of such a perfect square will have exactly half the number of zeros to the right of the final to the right of the final nonzero digit as the perfect square
34
Square Roots of Small Perfect Squares
If a decimal with a finite number of decimal places is a perfect square, its square root will have exactly half of the number of decimal places. Thus, a perfect square decimal must have an even number of decimal places.
35
35
Cube Roots of Large Perfect Cubes
The cube root of a perfect cube integer has exactly one-third of the number of zeros to the right of the final nonzero digit as the orginal perfect cube
36
Cube Roots of Small Perfect Cubes
The cube root of a perfect cube decimal has exactly one-third of the number of decimal places as the original perfect cube