Functions and Sequences Flashcards

(5 cards)

1
Q

Range

A

The set of all the numbers a function can generate (i.e., the set of all outputs) is called the range of the function…y- values

How well did you know this?
1
Not at all
2
3
4
5
Perfectly
2
Q

Domain

A

The set of all the numbers that a function can use (i.e., the set of all inputs) is called the domain of the function…x-values

How well did you know this?
1
Not at all
2
3
4
5
Perfectly
3
Q

Arithmetic Sequences

A

An arithmetic sequence is a sequence in which the difference between every pair of consecutive terms is the same

How well did you know this?
1
Not at all
2
3
4
5
Perfectly
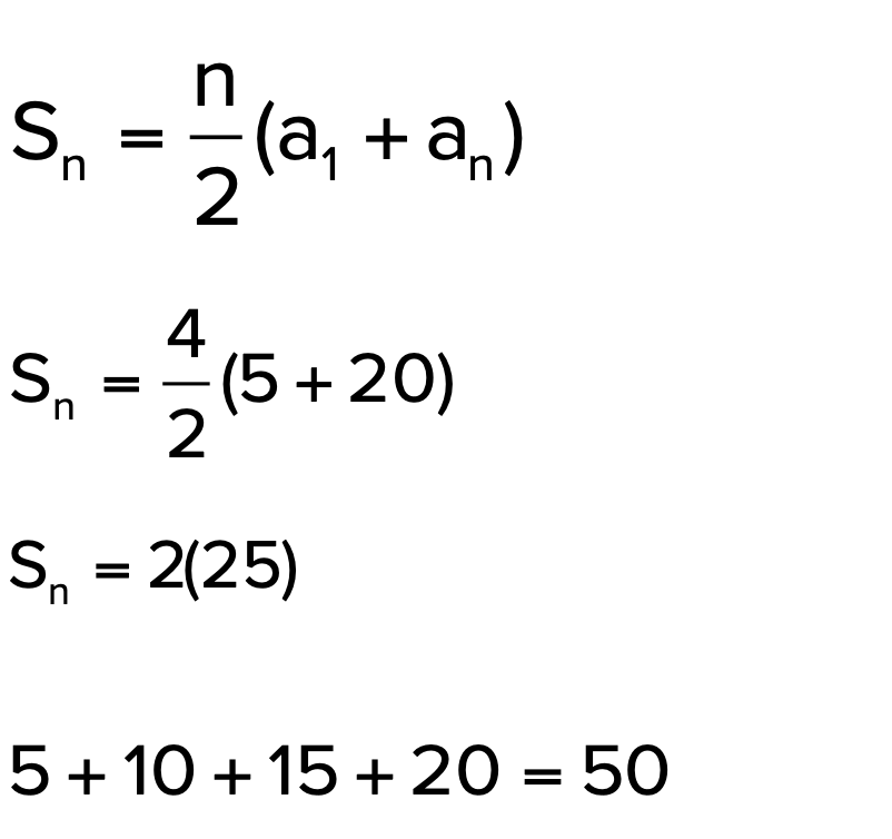
4
Q

Sum of the Terms of an Airthmetic Sequence

A
How well did you know this?
1
Not at all
2
3
4
5
Perfectly
5
Q

Geometric Sequence

A

A geometric sequence (or geometric progression) is one in which the ratio between every pair of consecutive terms is the same

How well did you know this?
1
Not at all
2
3
4
5
Perfectly