Linear & Quadratic Equations Flashcards

(12 cards)

1
Q

Factoring Out Common Factors

A
How well did you know this?
1
Not at all
2
3
4
5
Perfectly
2
Q

Squares of Fractions

A
How well did you know this?
1
Not at all
2
3
4
5
Perfectly
3
Q

Square Roots of Fractions

A
How well did you know this?
1
Not at all
2
3
4
5
Perfectly
4
Q

Properties of a Number Between 0 and 1

A
How well did you know this?
1
Not at all
2
3
4
5
Perfectly
5
Q

The Zero Product Property

A

If a x b = 0, then one of the following is true
- a = 0
- b = 0
- a and b = 0

How well did you know this?
1
Not at all
2
3
4
5
Perfectly
6
Q

Expression Set Equal to Zero

A

x can equal 0
- x(x+100) = 0
- x = 0 or x+100 = 0

How well did you know this?
1
Not at all
2
3
4
5
Perfectly
7
Q

General Form of a Quadratic Equation

A
How well did you know this?
1
Not at all
2
3
4
5
Perfectly
8
Q

Factoring a Quadratic Equation

A
How well did you know this?
1
Not at all
2
3
4
5
Perfectly
9
Q

FOILing Quadratic Equations

A
How well did you know this?
1
Not at all
2
3
4
5
Perfectly
10
Q

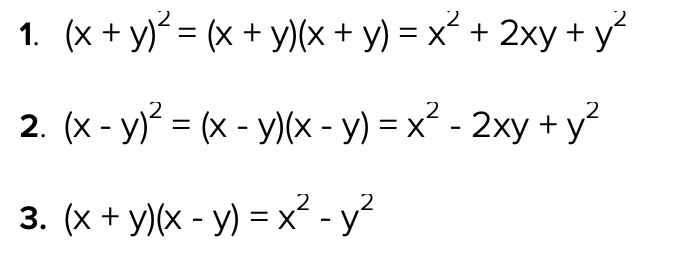
3 Common Quadratic Identities

A
How well did you know this?
1
Not at all
2
3
4
5
Perfectly
11
Q

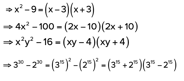
Some Examples of a Difference of Squares

A
How well did you know this?
1
Not at all
2
3
4
5
Perfectly
12
Q

PEMDAS: The Order of Mathematical Operations

A

Parentheses
Exponenets
Multiplication and Division
Addition and Subtraction

How well did you know this?
1
Not at all
2
3
4
5
Perfectly